群的表示

算符表示

算符表示:对任意群 GG,如果存在一个作用在线性矢量空间 VV 上的算符群(也就是线性算符群)ΓG\Gamma_G 且群 GGΓG\Gamma_G 间存在同态映射,即

f:gGΓgΓG,ΓgiΓgj=Γgigjf: g\in G \mapsto \Gamma _g \in \Gamma_G,\qquad \Gamma_{g_i} \Gamma_{g_j} = \Gamma_{g_ig_j}

那么称算符群 ΓG\Gamma_G 为群 GG 的一个表示,线性矢量空间 VV 的维数称为该表示的维数
如果这个同态同时也是同构,则该表示称为忠实表示,否则为非忠实表示

原像是群 GG,像是算符群 ΓG\Gamma_G,映射是同态映射

矩阵表示

但线性算符的表示也不方便,因此我们需要找到一组基,进一步将线性算符表示为矩阵。这样,我们就跳过了中间商线性算符,直接将群 GG 的元素映射为矩阵,操作如下:

选定一组基 ei{\bm{e}_i},当线性算符 Γg\Gamma_g 作用于基矢 ei\bm{e}_i 时,有

Γgei=jejDji(g)\Gamma_g \bm{e}_i = \sum_j \bm{e}_j D_{ji}(g)

因为 Γgei=jejDji(g)\Gamma_g \bm{e}_{\color{red}{i}} = \sum_j \bm{e}_j D_{j\color{red}{i}}(g)DD 的第 ii 个基 ei\bm{e}_i 常称为第 ii 列基。

可以证明

D(gi)D(gj)=D(gigj)D\left(g_i\right)D\left(g_j\right)=D\left(g_ig_j\right)

矩阵表示:因此 GGD(G)D\left(G\right) 也是一个同态映射。我们将 D(G)D\left(G\right) 称为群 GG 的矩阵表示,简称表示。ei{\bm{e}_i} 为该表示的基,矩阵的维数 dd 即为表示的维数。这样,我们就用可以用一个具体的矩阵群表示一个抽象群。

称群 GG 的表示矩阵的迹为群 GG特征标

χ(g)=Tr(D(g))=i=1dDii(gg)gG\chi(g) = \mathrm{Tr} \left(D\left(g\right)\right)=\sum^d_{i=1}D_{ii}\left(gg\right)\qquad \forall g \in G

任何群都有一个特殊表示:每个群元都映射到 11 上(恒等表示)

D(g)=1gGD\left(g\right)=1 \qquad \forall g \in G

在别的定义中可能会出现奇异的表示矩阵,但我们今后只研究非奇异表示矩阵

不等价不可约幺正表示

表示矩阵取决于基的选择,这说明一个群的表示有无穷多个,接下来我们研究几个特殊的表示

幺正表示

幺正表示:如果表示 D(g)D\left(g\right) 中的每个矩阵都是幺正矩阵 D1(g)=D(g)D^{-1}\left(g\right)=D^\dagger\left(g\right) 的话,则该表示称为幺正表示。

等价表示

等价表示:设 D(G)D\left(G\right)D(G)D'\left(G\right) 都是群 GGdd 维表示,且存在一个 dd 维的非奇异矩阵 SS 使得对 gG\forall g \in G 都有

D(g)=S1D(g)SD'\left(g\right)=S^{-1}D\left(g\right) S

则称 D(G)D\left(G\right)D(G)D'\left(G\right) 互为等价表示

  • 张成同一表示空间的两组基 {ei}\{\bm{e}_i\}{ei}\{\bm{e}'_i\} 荷载的两个表示等价:虽然两个表示在矩阵形式上发生了变化,但依旧等价(例如选取不同基矢的旋转矩阵相互等价)
  • SS 是基矢的变换矩阵,对所有表示群元 SS 都保持不变,因此可以写为 D=S1DSD'=S^{-1}DS

例:设哈密顿算符作用在两个不同表象下的完备基 n\bra{n}m\bra{m} 下可分别写为(在量子力学中基一般取右矢,为了对应群论内容,这里改成了左矢)

H^n=nH1H^m=mH2 \hat{H}\bra{n}=\bra{n}H_1 \qquad \hat{H}\bra{m}=\bra{m}H_2

其中 H1H_1H2H_2 分别是哈密顿量在两个基矢下的矩阵形式。有 n\bra{n}m\bra{m} 的变换:

m=nS \bra{m}=\bra{n} S

两边同时右乘 S1S^{-1} 可得到 m\bra{m}n\bra{n} 的变换:

n=mS1\bra{n}=\bra{m} S^{-1}

n\bra{n} 的哈密顿算符作用式中 n\bra{n} 替换为 m\bra{m}

H^mS1=mS1H1\hat{H}\bra{m}S^{-1}=\bra{m}S^{-1}H_1

两边同时右乘 SS

H^m=mS1H1S\hat{H}\bra{m}=\bra{m}S^{-1}H_1 S

对比 m\bra{m} 的哈密顿算符作用式,有

H2=S1H1SH_2=S^{-1}H_1S


关于等价和幺正的几个定理

定理:有限群 GG 的任何(非奇异)矩阵表示 D(G)D\left(G\right) 都有等价的幺正表示

  • 也就是说任何表示都可以通过相似(基)变换为一个幺正表示
  • 证明用到了线性代数中一个定理:任何厄米或幺正矩阵都可以通过适当的幺正矩阵相似于对角矩阵

这样,对于任意一个非幺正的表示,我们都可以找到它的等价幺正表示,我们只需关心幺正表示。


定理:两个等价的幺正变换总可以通过幺正相似变换联系起来

可约表示

可约表示:如果群的表示 D(G)D\left(G\right) 可以通过同一相似变换化为如下形式

D(g)=(D1(g)R(g)0D2(g))gGD\left(g\right)= \begin{pmatrix} D_1\left(g\right) & R\left(g\right) \\ 0 & D_2\left(g\right) \end{pmatrix} \qquad \forall g \in G

D(G)D\left(G\right) 称为可约表示。如果矩阵 R(g)=0R\left(g\right)=0 则称之为完全可约表示。如果表示 D(G)D\left(G\right) 无法通过相似变换化为上述方块上三角的形式,则称其为不可约表示。

可约表示不一定是块对角形式,只要其与可约表示等价,那就是可约表示

对于完全可约表示 D(g)=(D1(g)00D2(g)),gGD\left(g\right)= \begin{pmatrix} D_1\left(g\right) & 0 \\ 0 & D_2\left(g\right) \end{pmatrix},\forall g \in G,则称 D(G)D\left(G\right)D1(G)D_1\left(G\right)D2(G)D_2\left(G\right) 的直和

D(G)=D1(G)D2(G)D\left(G\right)=D_1\left(G\right) \oplus D_2\left(G\right)

{ei}\{\bm{e}_i\} 张成的表示空间 VVGG 的不变空间(因为表示 DD 作用于基矢 ei{\bm{e}_i}后得到的新基矢 {ei}\{\bm{e}'_i\} 仍在空间 VV 内),如果完全可约,则有

Γg(e1ed1,ed1+1ed)=(e1ed1,ed1+1ed)(D1(g)00D2(g))\Gamma_g\left(\textcolor{red}{\bm{e}_1 \cdots \bm{e}_{d_1}} ,\textcolor{blue}{\bm{e}_{d_1+1} \cdots \bm{e}_{d}} \right)=\left(\textcolor{red}{\bm{e}_1 \cdots \bm{e}_{d_1}} ,\textcolor{blue}{\bm{e}_{d_1+1} \cdots \bm{e}_{d}} \right) \begin{pmatrix} \textcolor{red}{D_1\left(g\right)} & 0 \\ 0 & \textcolor{blue}{D_2\left(g\right)} \end{pmatrix}

其中 dd 为表示的维数 d=d1+d2d=d_1+d_2,在这时 D1(g)D_1\left(g\right) 只对 {e1ed1}\{\bm{e}_1 \cdots \bm{e}_{d_1}\} 作用,而 D2(g)D_2\left(g\right) 只对 {ed1+1ed}\{\bm{e}_{d_1+1} \cdots \bm{e}_{d}\} 作用

Γg(e1ed1)=(e1ed1)D1(g)Γg(ed1+1ed)=(ed1+1ed)D2(g)\begin{align*} \Gamma_g\left(\textcolor{red}{\bm{e}_1 \cdots \bm{e}_{d_1}} \right)&=\left(\textcolor{red}{\bm{e}_1 \cdots \bm{e}_{d_1}}\right)\textcolor{red}{D_1}\left(g\right)\\ \Gamma_g\left(\textcolor{blue}{\bm{e}_{d_1+1} \cdots \bm{e}_{d}} \right)&=\left(\textcolor{blue}{\bm{e}_{d_1+1} \cdots \bm{e}_{d}}\right)\textcolor{red}{D_2}\left(g\right) \end{align*}

(e1ed1)\left(\textcolor{red}{\bm{e}_1 \cdots \bm{e}_{d_1}}\right)(ed1+1ed)\left(\textcolor{blue}{\bm{e}_{d_1+1} \cdots \bm{e}_{d}}\right) 分别张成 GG 的两个不变子空间 V1V_1V2V_2,即 V=V1+V2V=V_1+V_2

由于每一个块对角矩阵都可以继续约化直至不可约,因此我们给出可约表示的另一个定义:如果群 GG 的一个表示及其等价表示没有非平凡的不变子空间,那么这个表示称为不可约表示,否则为可约表示

平凡的不变子空间:该空间自身、只包含零矢量的空间


定理:对有限群,可约表示一定是完全可约的

舒尔引理

舒尔引理一:与群 GG 的不可约表示 D(G)D\left(G\right) 中所有矩阵都对易的非零矩阵 AA 必为单位矩阵的常数倍

AD(g)=D(g)AgGA=λIλC AD\left(g\right)=D\left(g\right)A \qquad \forall g \in G \quad \Rightarrow \quad A=\lambda I \qquad \lambda \in \mathbb{C}

推论一:若有非单位矩阵常数倍的非零矩阵 AA 与群的某一表示的所有矩阵都对易,那么该表示必为可约表示;反之若表示可约,则必有非单位矩阵常数倍的非零矩阵 AA 与该表示的所有矩阵都对易

推论二:若除单位矩阵常数倍外,没有任何非零矩阵 AA 与群的某一表示的所有矩阵都对易,那么该表示必为不可约表示

舒尔引理二:设 D(p)(G)D^{(p)}\left(G\right)D(q)(G)D^{(q)}\left(G\right) 分别是群 GG 的两个不可约表示,维数分别是 dpd_pdqd_q,如果存在一个 dp×dqd_p \times d_q 的矩阵 MM 使得

MD(p)(g)=D(q)(g)M,gG MD^{(p)}\left(g\right)=D^{(q)}\left(g\right)M, \qquad \forall g \in G

那么有

  1. dpdqd_p \neq d_ q,则 M=0M=0
  2. p=qp=q,则或者 M=0M=0 或者 detM0\mathrm{det}M \ne 0

如果两个表示的维数相同,则他们等价,那么就存在一个幺正矩阵 MM 使得 D(q)(g)=M1D(p)(g)MD^{(q)}\left(g\right)=M^{-1}D^{(p)}\left(g\right)M,因此 MM 可逆。

舒尔引理二相比于舒尔引理一的区别在于,舒尔引理一中 AA 是方阵,而舒尔引理二中 MM 可以可以是长方阵,且 D(p)D^{(p)}D(q)D^{(q)} 可以是两个不同的表示,维数可以不同。

正交性定理

表示矩阵元的正交性定理

Dp(G)D^{p}\left(G\right)Dq(G)D^{q}\left(G\right) 分别是群 GG 的两个不可约表示,维数分别是 dpd_pdqd_q,则有

gGDp(g)μνDq(g)μν=Gdpδpqδμμδνν\sum_{g \in G} D^{p}\left(g\right)_{\mu\nu}^* D^{q}\left(g\right)_{\mu'\nu'} = \frac{|G|}{d_p} \delta_{pq} \delta_{\mu\mu'} \delta_{\nu\nu'}

其中 Dp(g)μνD^{p}\left(g\right)_{\mu\nu} 表示 Dp(g)D^{p}\left(g\right) 的第 μ\mu 行第 ν\nu 列的元素,G|G| 是群 GG 的阶。

  • 注意:此处的 ppqq 不是前面文定义的两个不同表示的标记,而是表示第 pp 个和第 qq 个不可约不等价幺正表示。也就是说,p=qp=q 时表示同一个不可约表示;pqp\ne q 时表示两个不等价不表示。
  • 此处的 μ,ν\mu,\nu 是固定不变的,是对所有群元矩阵的同一行同一列元素求和。
  • 所有指标相等时才有非零结果

p=qp=qμ=ν\mu=\nuμ=ν\mu'=\nu',有

gGDp(g)μν2=Gdp\sum_{g \in G} |D^{p}\left(g\right)_{\mu\nu}|^2 = \frac{|G|}{d_p}

构造两个矢量

v(p,μ,ν)=dpG(Dμνp(g1),Dp(g2)μν,,Dp(gG)μν)v(q,μ,ν)=dqG(Dμνq(g1),Dq(g2)μν,,Dq(gG)μν)\begin{align*} \bm{v}^{\left(p,\mu,\nu\right)}&=\frac{d_p}{|G|}\left(D^{p}_{\mu\nu}\left(g_1\right),D^{p}\left(g_2\right)_{\mu\nu},\cdots,D^{p}\left(g_{|G|}\right)_{\mu\nu}\right) \\[5pt] \bm{v}^{\left(q,\mu',\nu'\right)}&=\frac{d_q}{|G|}\left(D^{q}_{\mu'\nu'}\left(g_1\right),D^{q}\left(g_2\right)_{\mu'\nu'},\cdots,D^{q}\left(g_{|G|}\right)_{\mu'\nu'}\right) \end{align*}

两矢量具有以下性质

(v(p,μ,ν),v(q,μ,ν))=v(p,μ,ν)v(q,μ,ν)=δpqδμμδνν \left(\bm{v}^{\left(p,\mu,\nu\right)*}, \bm{v}^{\left(q,\mu',\nu'\right)}\right)=\bm{v}^{\left(p,\mu,\nu\right)*}\cdot \bm{v}^{\left(q,\mu',\nu'\right)}=\delta_{pq}\delta_{\mu\mu'}\delta_{\nu\nu'}

设总共有 rr 个不等价不可约表示,分别为 D(1)(G),D(2)(G),,D(r)(G)D^{(1)}\left(G\right),D^{(2)}\left(G\right),\cdots,D^{(r)}\left(G\right),其维数分别为 d1,d2,,drd_1,d_2,\cdots,d_r,则 G|G| 维矢量 v(p,μ,ν)\bm{v}^{\left(p,\mu,\nu\right)} 的个数为

nv=d12+d22++dr2=p=1rdp2 n_{\bm{v}}=d_1^2+d_2^2+\cdots+d_r^2=\sum^r_{p=1}d_p^2

总共有 p=1rdp2\sum^r_{p=1}d_p^2 个这样的矢量。所有的 v(p,μ,ν)\bm{v}^{\left(p,\mu,\nu\right)} 矢量相互正交,必线性无关,又由于这些矢量都是 G|G| 维的, nn 维空间至多含有 G|G| 个线性无关的矢量,因此

p=1rdp2G\sum^r_{p=1}d_p^2 \le |G|

特征标的正交性定理

X(p)(G)\mathcal{X}^{(p)}\left(G\right)X(q)(G)\mathcal{X}^{(q)}\left(G\right) 分别是群 GG 的两个不等价不可约表示的特征标,那么有

gGX(p)(G)X(q)(G)=G δpq\sum_{g \in G} \mathcal{X}^{(p)}\left(G\right)^* \mathcal{X}^{(q)}\left(G\right) = |G| \ \delta_{pq}

由于相似变换不改变矩阵的迹,那么特征标是类的函数,那么上式可写为

gGX(p)(g)X(q)(g)=CkcX(p)(C)X(q)(C)=G δpq\sum_{g \in G} \mathcal{X}^{(p)}\left(g\right)^* \mathcal{X}^{(q)}\left(g\right) =\sum_{C} k_c \mathcal{X}^{(p)}\left(C\right)^* \mathcal{X}^{(q)}\left(C\right) =|G| \ \delta_{pq}

其中 kck_c 为共轭类元素的个数。与矩阵元的正交性定理类似,我们同样可以构造矢量

v(p)=(k1GX(p)(C1),k2GX(p)(C2),,kncGX(p)(Cnc)) \bm{v}^{\left(p\right)}=\left(\sqrt{\frac{k_1}{|G|}}\mathcal{X}^{(p)}\left(C_1\right),\sqrt{\frac{k_2}{|G|}}\mathcal{X}^{(p)}\left(C_2\right),\cdots,\sqrt{\frac{k_{n_c}}{|G|}}\mathcal{X}^{(p)}\left(C_{n_c}\right)\right)

矢量的维数是类的个数 ncn_c,不同表示的矢量相互正交

(v(p),v(q))=v(p)v(q)=δpq\left(\bm{v}^{\left(p\right)*}, \bm{v}^{\left(q\right)}\right)=\bm{v}^{\left(p\right)*}\cdot \bm{v}^{\left(q\right)}=\delta_{pq}

矢量的个数是不等价不可约表示的个数 rr,且矢量之间线性无关,因此

rncr \le n_c

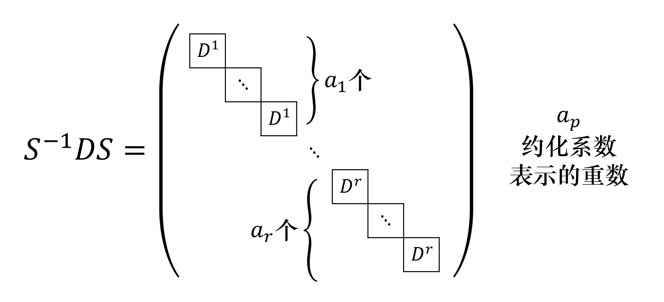
表示的约化

D(G)D\left(G\right) 是群 GG 的一个可约表示,D(G)D\left(G\right) 的特征标为 X(g)\mathcal{X}\left(g\right),则 D(G)D\left(G\right) 中第 pp 个不等价不可约表示 D(p)(G)D^{(p)}\left(G\right) 出现的次数为

约化系数

ap=1GgGX(p)(g)X(g)=1GCkcX(p)(C)不可约共轭类X(C)可约共轭类a_p=\frac{1}{|G|} \sum_{g \in G} \mathcal{X}^{(p)}\left(g\right)^* \mathcal{X}\left(g\right) = \frac{1}{|G|} \sum_{C} k_c \underbrace{\mathcal{X}^{(p)}\left(C\right)^*}_{\text{不可约共轭类}} \underbrace{\mathcal{X}\left(C\right)}_{\text{可约共轭类}}

式中求和是在约化系数对应表示的共轭类中进行的。根据约化系数表达式,只要知道了所有不等价不可约表示的特征标,就可以知道任何表示约化后的结构及组成,因此,表示 D(G)D\left(G\right) 可以约化为不等价不可约表示的直和

D(G)=a1D(1)(G)a2D(2)(G)arD(r)(G)D\left(G\right)=a_1 D^{(1)}\left(G\right) \oplus a_2 D^{(2)}\left(G\right) \oplus \cdots \oplus a_r D^{(r)}\left(G\right)

等价表示和不可约表示的判据

等价表示的判据定理:群的两个表示等价的充要条件是有相同的特征标

不可约表示的判据定理:群的一个表示不可约的充要条件是其特征标满足

gGX(g)2=G\sum_{g \in G} |\mathcal{X}\left(g\right)|^2 = |G|

不可约表示的维数定理

若将 nn 阶群 GG 中每个元素 gig_i 看成一个基矢量 gi|g_i\rangle,则这 nn 个基矢量构成一个 nn 维的线性空间 VRV_R,其基为 {g1,g2,,gn}\{|g_1\rangle, |g_2\rangle, \dots, |g_n\rangle\}。同时,每个群元 gkg_k 还可以看作是空间 VRV_R 上的一个线性变换

gkgj=gkgj=i=1ngiDijR(gk)\textcolor{blue}{g_k}|g_{\textcolor{red}{j}} \rangle = |g_k g_j\rangle=\sum_{i=1}^{n}|g_i\rangle D_{i{\textcolor{red}{j}} }^R \left(\textcolor{blue}{g_k}\right)

线性变换:L^a=i(L^ei)ai=i(jejLji)ai=jej(iLjiai)\hat{L}\mathbf{a} = \sum_i \left(\hat{L}\mathbf{e}_i\right)a_i = \sum_{i}\left(\sum_{j}\mathbf{e}_j L_{ji}\right)a_i = \sum_j \mathbf{e}_j \left(\sum_i L_{ji}a_i\right)

可见以 g1,g2,,gn|g_1\rangle, |g_2\rangle, \dots, |g_n\rangle 为基矢可以确定群 GG 的一个 nn 维表示 DR(G)D^R\left(G\right),其矩阵元为

DijR(gk)={1,if gi=gkgj(ORgigj1=gk)0,if gigkgj(ORgigj1gk) D_{ij}^R\left(g_k\right)=\begin{cases} 1, & \text{if } g_i = g_k g_j \left(OR \quad g_ig_j^{-1}=g_k\right)\\ 0, & \text{if } g_i \neq g_k g_j \left(OR \quad g_ig_j^{-1}\neq g_k\right) \end{cases}

这个表示称为群 GG 的正规表示。对于每个正规表示的特征标,有

XR(g)=Tr(DR(g))={0,if gen,if g=e \mathcal{X}^R\left(g\right)=\mathrm{Tr}\left(D^R\left(g\right)\right)=\begin{cases} 0, & \text{if } g \neq e \\ n, & \text{if } g = e \end{cases}

因此所有 G>0|G|>0 的正规表示都是可约表示。正规表示的约化系数为

ap=1GgGX(p)(g)XR(g)=1GnX(p)(e)=dpa_p=\frac{1}{|G|} \sum_{g \in G} \mathcal{X}^{(p)}\left(g\right)^* \mathcal{X}^R\left(g\right) = \frac{1}{|G|} \cdot n \cdot \mathcal{X}^{(p)}\left(e\right)^* = d_p

某一个表示的单位元的特征标等于该表示的维数

所以正规表示的约化系数等于表示的维数,因此 DR(G)D^R\left(G\right) 中包含每一个不等价不可约表示 D(p)(G)D^{(p)}\left(G\right),且每一个表示出现的次数等于该表示的维数。

不可约表示的维数定理:有限群的阶等于所有不等价不可约表示的维数的平方和

G=p=1rdp2|G|=\sum_{p=1}^{r} d_p^2

完全(完备)性关系

矩阵元的完备性关系

对于给定群元,将其所有不等价不可约幺正表示的矩阵元 Dij(p)(g)D^{(p)}_{ij}\left(g\right) 看作一个矢量

vg=(D11(1)(g),D12(1)(g),,Dd1d1(1)(g),D11(2)(g),,Ddrdr(r)(g))vg=(D11(1)(g),D12(1)(g),,Dd1d1(1)(g),D11(2)(g),,Ddrdr(r)(g)) \begin{align*} \bm{v}_g&=\left(D^{(1)}_{11}\left(g\right),D^{(1)}_{12}\left(g\right),\cdots,D^{(1)}_{d_1 d_1}\left(g\right),D^{(2)}_{11}\left(g\right),\cdots,D^{(r)}_{d_r d_r}\left(g\right)\right) \\[5pt] \bm{v}_{g'}&=\left(D^{(1)}_{11}\left(g'\right),D^{(1)}_{12}\left(g'\right),\cdots,D^{(1)}_{d_1 d_1}\left(g'\right),D^{(2)}_{11}\left(g'\right),\cdots,D^{(r)}_{d_r d_r}\left(g'\right)\right) \end{align*}

矢量的个数为 G|G|,维数为 p=1rdp2=G\sum_{p=1}^{r} d_p^2 = |G|。定义内积

(vg,vg)=vgvg=p=1ri=1dpj=1dpdpGDij(p)(g)Dij(p)(g)\left(\bm{v}_g, \bm{v}_{g'}\right)=\bm{v}_g^* \cdot \bm{v}_{g'}=\sum_{p=1}^{r} \sum_{i=1}^{d_p} \sum_{j=1}^{d_p} \frac{d_p}{|G|} D^{(p)}_{ij}\left(g\right)^* D^{(p)}_{ij}\left(g'\right)

经过证明可以得到矩阵元的完全(完备)性关系

(vg,vg)=p=1ri=1dpj=1dpdpGDij(p)(g)Dij(p)(g)=δgg\left(\bm{v}_g, \bm{v}_{g'}\right)=\sum_{p=1}^{r} \sum_{i=1}^{d_p} \sum_{j=1}^{d_p} \frac{d_p}{|G|} D^{(p)}_{ij}\left(g\right)^* D^{(p)}_{ij}\left(g'\right) = \delta_{gg'}

矩阵元完备性

如上图所示,蓝色的行相互正交,为正交性定理;红色的列相互正交,为完备性定理。

特征标的完备性关系

p=1rklGXp(Cl)Xp(Cm)=δlm\sum_{p=1}^{r} \frac{k_l}{|G|}\mathcal{X}^{p}\left(C_l\right)^* \mathcal{X}^{p}\left(C_m\right) = \delta_{lm}

特征标完备性

如上图所示,蓝色的行相互正交,为正交性定理;红色的列相互正交,为完备性定理。

定理:有限群不等价不可约表示的个数等于该群中类的个数

特征标表

将有限群的所有不等价不可约表示的特征标作为类的函数列成一个表,每行对应一个不等价不可约表示,每列对应一个类,这个表格称为该有限群的特征标表。特征标表的行数等于群中不等价不可约表示的个数,列数等于群中共轭类的个数。