转动算符的表示

转动算符的矩阵元是 Wigner 函数

我们在 Dj\mathcal{D}_j 空间中定义 D(R)D(R)(其中 RRn^\hat{n}α\alpha 指定)的矩阵元为:

Dmm(j)(R)=jmD^(R)jm=jmeiJn^αjmD_{m'm}^{(j)}(R) = \langle jm' | \hat{D}(R) | jm \rangle = \langle jm' | e^{-\frac{i}{\hbar}\boldsymbol{J} \cdot \hat{n} \alpha} | jm \rangle

这就是 Wigner\text{Wigner} 函数,D(j)(R)D^{(j)}(R) 是一个 m=2j+1m=2j+1 维的矩阵。你可能会想问,为什么不同的态只需要改变一个 mm 指标而不需要同时改变 jmjm 指标呢,例如 jm|jm'\rangle 而不是 jm|j'm'\rangle?这是因为转动算符不会改变角动量的值 jj,它只会改变角动量在某一方向上的分量 mm

J2[D(R)jm]=D(R)J2jm=j(j+1)2[D(R)jm]\boldsymbol{J}^2[D(R)|jm\rangle]=D(R)\boldsymbol{J}^2|jm\rangle=j(j+1)\hbar^2[D(R)|jm\rangle]

因此,转动算符只能在给定的 jj 子空间内起作用。由上式还可以看出,J2\boldsymbol{J}^2jm\ket{jm} 下是 2j+12j+1 重简并的。

在文献中,由 Dmmj(R)D_{m'm}^j(R) 构成的 (2j+1)×(2j+1)(2j + 1) \times (2j + 1) 矩阵被称为旋转算符 D(R)D(R)2j+12j + 1 维不可约表示。这意味着在这个 2j+12j+1 维的子空间 Dj\mathcal{D}_j 内,没有任何更小的子空间能在所有旋转操作下保持“封闭”。换句话说,旋转操作会将 Dj\mathcal{D}_j 中的任意一个态混合成该空间内所有其他态的线性组合,而不会跑出这个空间,也不会局限在更小的部分里。

可以证明:矩阵 {Dj(R)}\{D^j(R)\} 构成了 {D(R)}\{D(R)\} 的一个表示。这意味着这些矩阵保留了群的乘法结构:即旋转算符的乘积对应于矩阵的乘积:

D(R)D(R)=D(RR)D(R^{\prime})D(R)=D(R^{\prime}R)

Dj(R1)Dj(R2)=Dj(R1R2)D^j(R_1) D^j(R_2) = D^j(R_1 R_2)

欧拉转动的矩阵表示

类比经典欧拉转动 R(α,β,γ)=Rz(α)Ry(β)Rz(γ)R(\alpha,\beta,\gamma)=R_z(\alpha)R_y(\beta)R_z(\gamma),只需直接将经典转动中的每个转动替换为相应的量子转动算符:

D(α,β,γ)Dz^(α)Dy^(β)Dz^(γ)=eiJzαeiJyβeiJzγD(\alpha,\beta,\gamma)\equiv D_{\hat{z}}(\alpha)D_{\hat{y}}(\beta)D_{\hat{z}}(\gamma)=e^{-\dfrac{i}{\hbar}J_z\alpha}e^{-\dfrac{i}{\hbar}J_y\beta}e^{-\dfrac{i}{\hbar}J_z\gamma}

与之对应的 Wigner\text{Wigner} 函数为

Dmm(j)(α,β,γ)=jmeiJzαeiJyβeiJzγjm=ei(mα+mγ)jmeiJyβjmD_{m^{\prime}m}^{(j)}(\alpha,\beta,\gamma)=\langle jm^{\prime}|e^{-\frac{i}{\hbar}J_z\alpha}e^{-\frac{i}{\hbar}J_y\beta}e^{-\frac{i}{\hbar}J_z\gamma}|jm\rangle=e^{-i(m^{\prime}\alpha+m\gamma)}\langle jm^{\prime}|e^{-\frac{i}{\hbar}J_y\beta}|jm\rangle

唯一非平凡的部分是 eiJyβe^{-\frac{i}{\hbar}J_y\beta},由于 JyJ_yJ+J_+JJ_- 的线性组合,其将不同的 mm 值混合在一起,因此我们定义

dmm(j)(β)jmeiJyβjmd_{m^{\prime}m}^{(j)}(\beta)\equiv\langle jm^{\prime}|e^{-\frac{i}{\hbar}J_y\beta}|jm\rangle

称为 Wigner\text{Wigner}d\text{d} 矩阵。

自旋 1/2 的转动算符

自旋 1/2

自然界利用某些关系的最低维(维数=2)实现并不是先验的,但大量的实验(如原子光谱学、核磁共振等)证明事实确实如此。

我们在 j=1/2j=1/2 情况下,将之前理论中的 J\boldsymbol{J} 替换为 S\boldsymbol{S}mm 只能取两个值:m=+1/2m=+1/2m=1/2m=-1/2

SO(3) 和 SU(2)

根据转动算符 Dn^(α)=eiSn^αD_{\hat{n}}(\alpha)=e^{-\dfrac{i}{\hbar}\boldsymbol{S}\cdot\hat{n}\alpha},有

Dn^(1/2)(α)=eiSn^α=ei2σn^α=cosα2isinα2σn^=cosα2isinα2(cosθsinθeiϕsinθeiϕcosθ)=(cosα2isinα2cosθisinα2sinθeiϕisinα2sinθeiϕcosα2+isinα2cosθ)(ABBA)\begin{aligned} D_{\hat{n}}^{(1/2)}(\alpha)&=e^{-\dfrac{i}{\hbar}\boldsymbol{S}\cdot\hat{n}\alpha}=e^{-\dfrac{i}{2}\boldsymbol{\sigma}\cdot\hat{n}\alpha}=\cos\frac{\alpha}{2}-i\sin\frac{\alpha}{2}\boldsymbol{\sigma}\cdot\hat{n} =\cos\frac{\alpha}{2}-i\sin\frac{\alpha}{2} \begin{pmatrix} \cos\theta & \sin\theta e^{-i\phi} \\[1em] \sin\theta e^{i\phi} & -\cos\theta \end{pmatrix} \\[1em] &=\begin{pmatrix} \cos\dfrac{\alpha}{2}-i\sin\dfrac{\alpha}{2}\cos\theta & -i\sin\dfrac{\alpha}{2}\sin\theta e^{-i\phi} \\[1em] -i\sin\dfrac{\alpha}{2}\sin\theta e^{i\phi} & \cos\dfrac{\alpha}{2}+i\sin\dfrac{\alpha}{2}\cos\theta \end{pmatrix} \\[2em] &\equiv \begin{pmatrix} A & B \\[1em] -B^* & A^* \end{pmatrix} \end{aligned}

其中 A=cosα2isinα2cosθ,B=isinα2sinθeiϕA=\cos\dfrac{\alpha}{2}-i\sin\dfrac{\alpha}{2}\cos\theta\mathrm{,}B=-i\sin\dfrac{\alpha}{2}\sin\theta e^{-i\phi}。可以验证 Dn^(1/2)(α)D_{\hat{n}}^{(1/2)}(\alpha) 的行列式为 11

detei2σn^α=A2+B2=1\det e^{-\dfrac{i}{2}\boldsymbol{\sigma}\cdot\hat{n}\alpha}=|A|^2+|B|^2=1

且由于 σ\sigma 为厄米算符,所以 ei2σn^αe^{-\dfrac{i}{2}\sigma\cdot\hat{n}\alpha} 是幺正矩阵。


我们定义 SU(2)\text{SU}(2) 群:如果一个 2×22\times 2 复矩阵 UU 满足

  1. 幺正性:UU=UU=1UU^\dagger=U^\dagger U=1
  2. 幺模性:detU=1\det U=1

那么我们将 UU 称为 SU(2)\text{SU}(2) 群(2维特殊幺正群)的一个元素。满足这两个条件的所有矩阵构成了 SU(2)\text{SU}(2) 群。UU 的一般形式为

U(a,b)=(abba),a2+b2=1U(a,b)= \begin{pmatrix} a & b \\[0.5em] -b^* & a^* \end{pmatrix},\quad|a|^2+|b|^2=1

aabb 各自由两个实参数,加上 detU=1\det U=1 的约束条件,SU(2)\text{SU}(2) 群有三个自由参数,我们可以验证

U(a,b)U(a,b)=(abba)(abba)=(aa+bbab+baba+abbb+aa)=1U(a,b)U^\dagger(a,b)= \begin{pmatrix} a & b \\[0.5em] -b^* & a^* \end{pmatrix} \begin{pmatrix} a^* & -b \\[0.5em] b^* & a \end{pmatrix}= \begin{pmatrix} aa^*+bb^* & -ab+ba \\[0.5em] -b^*a^*+a^*b^* & b^*b+a^*a \end{pmatrix}=1

任意的转动算符 Dn^(12)(α)=ei2σn^αD_{\hat{n}}^{\left(\frac{1}{2}\right)}(\alpha)=e^{-\dfrac{i}{2}\sigma\cdot\hat{n}\alpha} 都属于 SU(2)\text{SU}(2) 群。


我们再回到经典转动 R^(α)=eiαIn^\hat{R}(\alpha)=e^{-i\alpha \boldsymbol{I}\cdot\hat{n}},这是一个实正交的矩阵,且 detR(α)=1\det R(\alpha)=1。我们称 Rn^(α)R_{\hat{n}}(\alpha)SO(3)\text{SO}(3) 群(特殊正交群)的一个元素。SO(3)\text{SO}(3) 群有三个自由参数,与 SU(2)\text{SU}(2) 群一样。

任意经典转动在自旋 1/21/2 的态空间中都有对应的量子转动,具有如下对应关系

Rn^(α)=eiαIn^SO(3)Dn^(12)(α)=ei2σn^αSU(2)\textcolor{orange}{R_{\hat{n}}(\alpha) = e^{-i\alpha I\cdot\hat{n}} \in \text{SO}(3)} \quad \textcolor{blue}{\Longleftrightarrow} \quad \textcolor{green}{D_{\hat{n}}^{(\frac{1}{2})}(\alpha) = e^{-\frac{i}{2}\sigma\cdot\hat{n}\alpha} \in \text{SU}(2)}

但是这不是一一对应的

Rn^(α+2π)=Rn^(α)Rn^(2π)=Rn^(α)Dn^(12)(α+2π)=Dn^(12)(α)Dn^(12)(2π)=Dn^(12)(α)\begin{aligned} R_{\hat{n}}(\alpha+2\pi)&=R_{\hat{n}}(\alpha)R_{\hat{n}}(2\pi)=R_{\hat{n}}(\alpha) \\[1em] D_{\hat{n}}^{\left(\frac{1}{2}\right)}(\alpha+2\pi)&=D_{\hat{n}}^{\left(\frac{1}{2}\right)}(\alpha)D_{\hat{n}}^{\left(\frac{1}{2}\right)}(2\pi)=-D_{\hat{n}}^{\left(\frac{1}{2}\right)}(\alpha) \end{aligned}

对于所有的半奇数都有:Dn^(j)(α+2π)=Dn^(j)(α)Dn^(j)(2π)=Dn^(j)(α)D_{\hat{n}}^{(j)}(\alpha+2\pi)=D_{\hat{n}}^{(j)}(\alpha)D_{\hat{n}}^{(j)}(2\pi)=-D_{\hat{n}}^{(j)}(\alpha)

因此,SU(2)\text{SU}(2) 群是 SO(3)\text{SO}(3) 群的二重覆盖群。换句话说,SU(2)\text{SU}(2) 群中的每一个元素都对应 SO(3)\text{SO}(3) 群中的一个元素,但 SO(3)\text{SO}(3) 群中的每一个元素对应 SU(2)\text{SU}(2) 群中的两个元素,分别相差一个负号。

SO(3)和SU(2)的关系

由转动算符得到自旋分量算符的本征态

我们之前通过本征值问题求得了自旋分量算符的本征态,现在我们从一个动态的转动观点直接得到这些本征态。

我们想要找到一个联系 ψ=\ket{\psi} = \ket{\uparrow}ψR=n^\ket{\psi_R} = \ket{\uparrow}_{\hat{n}} 的旋转算符 D(R)D(R)。由前面的内容可知,σ\boldsymbol{\sigma} 的平均值就是 n^\hat{n} 方向的单位向量

σR=n^σn^=n^\langle\boldsymbol{\sigma}\rangle_R=_{\hat{n}}\langle\uparrow|\boldsymbol{\sigma}|\uparrow\rangle_{\hat{n}}=\hat{n}

这个式子对所有的 n^\hat{n} 都成立,当选择 n^=z^\hat{n}=\hat{z} 时,有

σ=σ=z^\langle\boldsymbol{\sigma}\rangle= \langle\uparrow|\boldsymbol{\sigma}|\uparrow\rangle=\hat{z}

又因为 σ\boldsymbol{\sigma}S\boldsymbol{S} 成正比,所以同样满足

D(R)σD(R)=RσσR=RσD^\dagger(R)\boldsymbol{\sigma}D(R)=R\boldsymbol{\sigma}\quad \Rightarrow \quad \langle\boldsymbol{\sigma}\rangle_R=R\langle\boldsymbol{\sigma}\rangle

其中 σR\langle\boldsymbol{\sigma}\rangle_Rσ\langle\boldsymbol{\sigma}\rangle 分别是转动后和转动前在 \ket{\uparrow} 上的平均值。

任意轴都可以由 z^\hat{z} 通过转动得到:Rz^(ϕ)Ry^(θ)z^=n^R_{\hat{z}}(\phi)R_{\hat{y}}(\theta)\hat{z}=\hat{n}

z到任意轴的转动

所以相应的 RRD(R)D(R) 分别为

R=Rz^(ϕ)Ry^(θ)D(R)=Dz^(ϕ)Dy^(θ)R=R_{\hat{z}}(\phi)R_{\hat{y}}(\theta)\quad \longrightarrow \quad D(R)=D_{\hat{z}}(\phi)D_{\hat{y}}(\theta)

现在问题就简单了,我们不用再求本征值了,只需将 \ket{\uparrow} 通过转动算符 D(R)D(R) 转动到 n^\ket{\uparrow}_{\hat{n}} 方向:

n^=D(R)=(cosϕ2isinϕ2σ3)(cosθ2isinθ2σ2)(10)=(eiϕ/200eiϕ/2)(cosθ2sinθ2sinθ2cosθ2)(10)=(eiϕ/200eiϕ/2)(cosθ2sinθ2)=(eiϕ/2cosθ2eiϕ/2sinθ2)\begin{aligned} |\uparrow\rangle_{\widehat{n}}&=D(R)|\uparrow\rangle =\left(\cos\frac{\phi}{2}-i\sin\frac{\phi}{2}\sigma_3\right)\left(\cos\frac{\theta}{2}-i\sin\frac{\theta}{2}\sigma_2\right)\binom{1}{0} \\[1em] &= \begin{pmatrix} e^{-i\phi/2} & 0 \\[0.5em] 0 & e^{i\phi/2} \end{pmatrix} \begin{pmatrix} \cos\dfrac{\theta}{2} & -\sin\dfrac{\theta}{2} \\[0.5em] \sin\dfrac{\theta}{2} & \cos\dfrac{\theta}{2} \end{pmatrix} \begin{pmatrix} 1 \\[0.5em] 0 \end{pmatrix}= \begin{pmatrix} e^{-i\phi/2} & 0 \\[0.5em] 0 & e^{i\phi/2} \end{pmatrix} \begin{pmatrix} \cos\dfrac{\theta}{2} \\[0.5em] \sin\dfrac{\theta}{2} \end{pmatrix}= \begin{pmatrix} e^{-i\phi/2}\cos\dfrac{\theta}{2} \\[0.5em] e^{i\phi/2}\sin\dfrac{\theta}{2} \end{pmatrix} \end{aligned}

为了找到两个态之间的对应,我们先根据σ\boldsymbol{\sigma} 的平均值就是 n^\hat{n} 方向的单位向量、平均值在转动情况下表现得与经典向量一致这两个性质,再从平均值出发,找到对应的算符的转动。

自旋共振:拉比问题

拉比公式

我们知道,只要将一个磁矩 μ\boldsymbol{\mu} 放在一个磁场 B\boldsymbol{B} 中,它就会进动。电子的反常磁矩为

μ=ge2meS\mu=-g\frac{e}{2m_e}S

这个磁矩与磁场的相互作用哈密顿量为

H=μB=ge2meSB=ge4meσBH=-\boldsymbol{\mu}\cdot\boldsymbol{B}=\frac{ge}{2m_e}\boldsymbol{S}\cdot\boldsymbol{B}=\frac{ge\hbar}{4m_e}\boldsymbol{\sigma}\cdot\boldsymbol{B}

其中 gg 被称为朗德 gg 因子。虽然狄拉克方程预测 gg 严格等于 22,但实验值只是非常接近 22,量子电动力学修正了狄拉克的预测,这些修正可以按精细结构常数 α\alpha 的幂级数进行计算,该差异 a=12(g2)a = \dfrac{1}{2}(g-2) 被称为粒子的反常磁矩,电子的单圈贡献为 ae=α2πa_e = \dfrac{\alpha}{2\pi}

下面,我们简单地令 g=2g=2,那么

H=e2meσB=μBσBH=\frac{e\hbar}{2m_e}\boldsymbol{\sigma}\cdot\boldsymbol{B}=\mu_\mathrm{B}\boldsymbol{\sigma}\cdot\boldsymbol{B}

其中 μB=e2me\mu_\mathrm{B}=\dfrac{e\hbar}{2m_e} 是玻尔磁子。


拉比问题:量子力学解法

拉比问题是少数可以精确求解的含时问题。考虑一个由静态磁场 BB 和一个频率为 ωr\omega_r 的旋转磁场 BrotB_{rot} 组成的磁场:

B=Brot(cosωrte1+sinωrte2)+Be3\boldsymbol{B}=B_{\mathrm{rot}}(\cos\omega_rt\boldsymbol{e}_1+\sin\omega_rt\boldsymbol{e}_2)+B\boldsymbol{e}_3

一个自旋粒子在其中的哈密顿量为

H(t)=eme[Brot(cosωrtS1+sinωrtS2)+BS3]ωrot(cosωrtS1+sinωrtS2)+ω0S3\begin{aligned} H(t)&=\frac{e}{m_e}[B_{\mathrm{rot}}(\cos\omega_rtS_1+\sin\omega_rtS_2)+BS_3] \\[1em] &\equiv\omega_{\mathrm{rot}}(\cos\omega_rtS_1+\sin\omega_rtS_2)+\omega_0S_3 \end{aligned}

其中 ωrot=eBrotme\omega_{\mathrm{rot}}=\dfrac{eB_{\mathrm{rot}}}{m_e}ω0=eBme\omega_0=\dfrac{eB}{m_e}。我们之前讲过含时幺正变换,其能够将含时哈密顿量转化为一个新的不含时哈密顿量,选取幺正变换 W(t)=eiS3ωrtW(t)=e^{\frac{i}{\hbar}S_3\omega_rt},则

H(t)W(t)HW(t)+idW(t)dtW(t)=ωrot[cosωrt(S1cosωrtS2sinωrt)+sinωrt(S1sinωrt+S2cosωrt)]+(ω0ωr)S3=ωrotS1+(ω0ωr)S3\begin{aligned} H^{\prime}(t)&\equiv W(t)HW^{\dagger}(t)+i\hbar\frac{dW(t)}{dt}W^{\dagger}(t) \\[1em] &=\omega_{\mathrm{rot}}[\cos\omega_rt\left(S_1\cos\omega_rt-S_2\sin\omega_rt\right)+\sin\omega_rt\left(S_1\sin\omega_rt+S_2\cos\omega_rt\right)] +(\omega_0-\omega_r)S_3 \\[1em] &=\omega_\mathrm{rot}S_1+(\omega_0-\omega_r)S_3 \end{aligned}

为什么在转动坐标系下哈密顿量不含时了?因为我们选择的幺正变换 W(t)W(t) 实际上是一个绕 S3S_3 轴以角速度 ωr\omega_r 旋转的参考系,在这个参考系中,原本随时间变化的磁场和参考系是同步转动的,所以看起来是静止的,因此哈密顿量也变得不含时了。最后再使用 W(t)W^\dagger(t) 将解变回实验室参考系即可。

现在,不含时问题就可以直接做时间演化了。时间演化算符为

U(t)=eiHt=ei[ωrotS1+(ω0ωr)S3]t=ei2[ωrotσ1+(ω0ωr)σ3]t\begin{aligned} U^{\prime}(t)&=e^{-\dfrac{i}{\hbar}H^{\prime}t}=e^{-\dfrac{i}{\hbar}[\omega_{\mathrm{rot}}S_{1}+(\omega_{0}-\omega_{r})S_{3}]t}=e^{-\dfrac{i}{2}[\omega_{\mathrm{rot}}\sigma_{1}+(\omega_{0}-\omega_{r})\sigma_{3}]t} \end{aligned}

若定义

Ω=12(ω0ωr)2+ωrot2n^=[ωrote1+(ω0ωr)e3]/(2Ω)\Omega=\frac{1}{2}\sqrt{(\omega_{0}-\omega_{r})^{2}+\omega_{\mathrm{rot}}^{2}} \\[1em] \hat{n}=[\omega_\mathrm{rot}\boldsymbol{e}_1+(\omega_0-\omega_r)\boldsymbol{e}_3]/(2\Omega)

则时间演化算符为

U(t)=ei2[ωrotσ1+(ω0ωr)σ3]/(2Ω)2Ωt=ei2σn^(2Ωt)=cosΩtisinΩtσn^=cosΩtisinΩtσn^=cosΩtisinΩt[ωrotσ1+(ω0ωr)σ3]/(2Ω)\begin{aligned} U^{\prime}(t)&=e^{-\dfrac{i}{2}[\omega_{\mathrm{rot}}\sigma_1+(\omega_0-\omega_r)\sigma_3]/(2\Omega)2\Omega t}=e^{-\dfrac{i}{2}\boldsymbol{\sigma}\cdot\hat{n}(2\Omega t)} =\cos\Omega t-i\sin\Omega t\boldsymbol{\sigma}\cdot\hat{n} \\[1em] & =\cos\Omega t-i\sin\Omega t\boldsymbol{\sigma}\cdot\hat{n}=\cos\Omega t-i\sin\Omega t[\omega_{\mathrm{rot}}\sigma_1+(\omega_0-\omega_r)\sigma_3]/(2\Omega) \end{aligned}

设初态为 ψ(0)=W(t)ψ(0)=|\psi^{\prime}(0)\rangle=W(t)|\psi(0)\rangle=|\uparrow\rangle,则在转动参考系下的时间演化为

ψ(t)=U(t)ψ(0)=cosΩtisinΩt[ωrotσ1+(ω0ωr)σ3]/(2Ω)=cosΩtisinΩt[ωrot+(ω0ωr)]/(2Ω)=[cosΩtisinΩt(ω0ωr)/(2Ω)]isinΩtωrot/(2Ω)=12Ω[eiΩt(ω0ωr2+Ωωrot2)eiΩt(ω0ωr2Ωωrot2)]\begin{aligned} |\psi^{\prime}(t)\rangle&=U^{\prime}(t)|\psi^{\prime}(0)\rangle \\[0.5em] &=\cos\Omega t\mid\uparrow\rangle-i\sin\Omega t\left[\omega_\mathrm{rot}\sigma_1|\uparrow\rangle+(\omega_0-\omega_r)\sigma_3|\uparrow\rangle\right]/(2\Omega) \\[0.5em] & =\cos\Omega t\mid\uparrow\rangle-i\sin\Omega t\left[\omega_\mathrm{rot}|\downarrow\rangle+(\omega_0-\omega_r)\mid\uparrow\rangle\right]/(2\Omega) \\[0.5em] & =[\cos\Omega t-i\sin\Omega t\left(\omega_0-\omega_r\right)/(2\Omega)]|\uparrow\rangle-i\sin\Omega t\left.\omega_\mathrm{rot}/(2\Omega)|\downarrow\rangle\right. \\[1em] &=\frac{1}{2\Omega}\left[e^{-i\Omega t} \begin{pmatrix} \dfrac{\omega_0-\omega_r}{2}+\Omega \\[1em] \dfrac{\omega_{\mathrm{rot}}}{2} \end{pmatrix}-e^{i\Omega t} \begin{pmatrix} \dfrac{\omega_0-\omega_r}{2}-\Omega \\[1em] \dfrac{\omega_{\mathrm{rot}}}{2} \end{pmatrix}\right] \end{aligned}

最后,将解变回实验室参考系(薛定谔绘景):

ψ(t)=W(t)ψ(t)=[cosΩtisinΩt(ω0ωr)/(2Ω)]ei2ωrtisinΩtωrot/(2Ω)ei2ωrt\begin{aligned} |\psi(t)\rangle&=W^{\dagger}(t)|\psi^{\prime}(t)\rangle \\[0.5em] & =[\cos\Omega t-i\sin\Omega t(\omega_0-\omega_r)/(2\Omega)]e^{-\dfrac{i}{2}\omega_rt}|\uparrow\rangle-i\sin\Omega t\omega_{\mathrm{rot}}/(2\Omega)e^{\dfrac{i}{2}\omega_rt}|\downarrow\rangle \end{aligned}

我们计算初态为 |\uparrow\rangle 时,自旋在任意时刻 tt 处于 |\downarrow\rangle 态的概率(翻转概率):

P(t)=ψ(t)2=isinΩtωrot/(2Ω)ei2ωrt2=18Ω2ωrot2(1cos2Ωt)P_\downarrow(t)=|\langle\downarrow|\psi(t)\rangle|^2=|-i\sin\Omega t\omega_{\mathrm{rot}}/(2\Omega)e^{\frac{i}{2}\omega_rt}|^2=\frac{1}{8\Omega^2}\omega_{\mathrm{rot}}^2(1-\cos2\Omega t)

这就是拉比公式。上式中转动变换产生的影响 ei2ωrte^{\dfrac{i}{2}\omega_rt} 并没有起实际作用,说明转动参考系下的 SzS_z 的平均值和实验室参考系下的平均值是相同的。


总结:拉比公式

自旋磁矩在振荡磁场中的哈密顿量为

H(t)=eme[Brot(cosωrtS1+sinωrtS2)+BS3]H(t)=\frac{e}{m_e}[B_{\mathrm{rot}}(\cos\omega_rtS_1+\sin\omega_rtS_2)+BS_3]

若定义

ωroteBrotme,ω0eBme,Ω=12(ω0ωr)2+ωrot2\omega_{\mathrm{rot}}\equiv\frac{eB_{\mathrm{rot}}}{m_e},\quad \omega_0\equiv\frac{eB}{m_e},\quad \Omega=\frac{1}{2}\sqrt{(\omega_0-\omega_r)^2+\omega_{\mathrm{rot}}^2}

则初态为 |\uparrow\rangle 时,自旋在任意时刻 tt 处于 |\downarrow\rangle 态的概率为

P(t)=18Ω2ωrot2(1cos2Ωt)P_\downarrow(t)=\frac{1}{8\Omega^2}\omega_{\mathrm{rot}}^2(1-\cos2\Omega t)

拉比振荡

可以看出,在 t=π2Ωt=\dfrac{\pi}{2\Omega} 时,翻转概率达到最大值

Pmax=P(t=π2Ω)=14Ω2ωrot2=ωrot2(ω0ωr)2+ωrot2=(ωrot/ω0)2(1ωr/ω0)2+(ωrot/ω0)2P_\downarrow^{\max}=P_\downarrow\left(t=\frac{\pi}{2\Omega}\right)=\frac{1}{4\Omega^2}\omega_{\mathrm{rot}}^2=\frac{\omega_{\mathrm{rot}}^2}{(\omega_0-\omega_r)^2+\omega_{\mathrm{rot}}^2}=\frac{(\omega_{\mathrm{rot}}/\omega_0)^2}{(1-\omega_r/\omega_0)^2+(\omega_{\mathrm{rot}}/\omega_0)^2}

当外加磁场的频率 ωr\omega_r 接近自旋在静态磁场 BB 中的拉莫尔进动频率 ω0\omega_0 时,翻转概率最大值能够达到 11,这就是拉比共振现象。此时,系统以频率 ωrot\omega_{\mathrm{rot}} 在两个自旋态之间振荡,这种现象被称为拉比振荡。下图展示了不同失谐情况下 ωr\omega_r 下的最大翻转概率

最大翻转概率

转动坐标系下拉比振荡时间演化的物理图像如下

拉比问题转动坐标系

在转动参考系下,转动磁场变为一个静态磁场 Brot=Brotex\boldsymbol{B}_{\mathrm{rot}}=B_{\mathrm{rot}}\boldsymbol{e}_x,而静态磁场在转动小减小但方向不变,根据哈密顿量可知其变为有效磁场 Beff=(Bmeeωr)ez=(meeω0meeωr)ez\boldsymbol{B}_{\mathrm{eff}}=(B-\dfrac{m_e}{e}\omega_r)\boldsymbol{e}_z=(\dfrac{m_e}{e}\omega_0 -\dfrac{m_e}{e}\omega_r)\boldsymbol{e}_z。因此,自旋在转动参考系下的总磁场为 Btot=Brot+Beff\boldsymbol{B}_{\mathrm{tot}}=\boldsymbol{B}_{\mathrm{rot}}+\boldsymbol{B}_{\mathrm{eff}},自旋围绕 Btot\boldsymbol{B}_{\mathrm{tot}} 进动;而在实验室参考系下,自旋围绕 Btot\boldsymbol{B}_{tot} 进动的同时,Brot\boldsymbol{B}_{\mathrm{rot}} 还在以角速度 ωr\omega_rez\boldsymbol{e}_z 旋转,这就解释了为什么转动参考系中 SzS_z 的平均值和实验室参考系下的平均值是相同的,因为自旋的平均值在 zz 方向上的投影并不取决于 Brot\boldsymbol{B}_{\mathrm{rot}} 是否绕 zz 轴旋转。

在共振情况下 ωr=ω0\omega_r=\omega_0,有效磁场 Beff=0\boldsymbol{B}_{\mathrm{eff}}=0,转动磁场 Brot\boldsymbol{B}_{\mathrm{rot}} 不再是斜的,而是完全在 xx 方向上,此时自旋围绕 xx 轴进动,如下图所示。

共振情况

此时若初态为 |\uparrow\rangle,则自旋是能够完全达到相反位置的 |\downarrow\rangle 的,因此最大值为 11,而在失谐情况下,自旋围绕斜着的 Btot\boldsymbol{B}_{\mathrm{tot}} 进动,无法完全到达 |\downarrow\rangle 态。


共振情形

在共振情况下 ωr=ω0\omega_r=\omega_0Ω=ωrot2=eBrot2me\Omega=\dfrac{\omega_{\mathrm{rot}}}{2}=\dfrac{eB_{\mathrm{rot}}}{2m_e},初态为 |\uparrow\rangle 时,翻转概率为

P(t)=12(1cosωrott)P_\downarrow(t)=\frac{1}{2}(1-\cos\omega_\mathrm{rot}t)

这可以用于描述二能级系统在外加谐场驱动下的动力学行为

吸收-发射周期

其会在两个能级之间以频率 ωrot\omega_{\mathrm{rot}} 来回振荡,这就是拉比振荡。

角动量的合成

角动量的合成并不神秘,仅仅是一个表象变换而已。其在原子光谱学、核物理与粒子物理以及量子磁学等方面有着重要的应用,且能更好地阐述基底变换的概念。

两种合成

例1:一个自旋 1/2 粒子:x,/=x/|\boldsymbol{x}', \uparrow/\downarrow\rangle = |\boldsymbol{x}'\rangle \otimes |\uparrow/\downarrow\rangle

因为轨道运动和自旋运动是独立的,故在由 {x}\{|\boldsymbol{x}'\rangle\} 张成的空间中的任意算符,都与由 {,}\{|\uparrow\rangle, |\downarrow\rangle\} 张成的二维空间中的任何算符对易。特别地,轨道角动量 L\boldsymbol{L} 与自旋算符 S\boldsymbol{S} 对易。总角动量是这两者的和

J=L+S=L1S+1LS\boldsymbol{J}=\boldsymbol{L}+\boldsymbol{S}=L\otimes1_S+1_L\otimes S

很容易验证 J\boldsymbol{J} 也是一个角动量算符,其三个分量满足角动量算符的基本对易关系

[Jx,Jy]=[Lx+Sx,Ly+Sy]=[Lx,Ly]+[Sx,Sy]=iLz+iSz=iJz[J_x,J_y]=[L_x+S_x,L_y+S_y]=[L_x,L_y]+[S_x,S_y]=i\hbar L_z+i\hbar S_z=i\hbar J_z

对于轨道角动量,空间部分的基矢为

L2nlm=l(l+1)2nlm,Lznlm=mnlm\boldsymbol{L}^2|nlm\rangle=l(l+1)\hbar^2|nlm\rangle,L_z|nlm\rangle=m\hbar|nlm\rangle

对于自旋角动量,自旋部分的基矢为

S2/=342/,Sz/=±2/S^{2}|\uparrow/\downarrow\rangle=\frac{3}{4}\hbar^{2}|\uparrow/\downarrow\rangle,\qquad S_{z}|\uparrow/\downarrow\rangle=\pm\frac{\hbar}{2}|\uparrow/\downarrow\rangle

我们已经说过角动量的合成就是基矢的变换,那么需要找到一组完备的基矢,使得它们是两个对易子的共同本征态。我们选取两套不同的相互对易的算符,这些可观测量分别为

Set I:L2,LZ,S2,SZSet II:J2,JZ,L2,S2\begin{aligned} \mathrm{Set~I:}\quad L^2,L_Z,S^2,S_Z \\[1em] \mathrm{Set~II:}\quad J^2,J_Z,L^2,S^2 \end{aligned}


例2:两个自旋 1/2 粒子:

自旋算符应为

S=S1+S2=S112+11S2\boldsymbol{S}=\boldsymbol{S}_1+\boldsymbol{S}_2=\boldsymbol{S}_1\otimes1_2+1_1\otimes \boldsymbol{S}_2

其中 S1\boldsymbol{S_1}S2\boldsymbol{S_2} 各自满足各自的角动量分量基本对易关系

[Siα,Sjβ]=iδijεαβγSiγ(i,j=1,2α,β=x,y,z)\left[S_i^\alpha,S_j^\beta\right]=i\hbar\delta_{ij}\varepsilon_{\alpha\beta\gamma}S_i^\gamma\qquad(i,j=1,2\quad \mathrm{且} \quad \alpha,\beta=x,y,z)

同样可以验证总角动量 S\boldsymbol{S} 也是一个角动量算符,其满足角动量分量的基本对易关系

[Sx,Sy]=[S1x+S2x,S1y+S2y]=[S1x,S1y]+[S2x,S2y]=iS1z+iS2z=iSz\begin{bmatrix} S_x,S_y \end{bmatrix}= \begin{bmatrix} S_1^x+S_2^x,S_1^y+S_2^y \end{bmatrix}= \begin{bmatrix} S_1^x,S_1^y \end{bmatrix}+ \begin{bmatrix} S_2^x,S_2^y \end{bmatrix}=i\hbar S_1^z+i\hbar S_2^z=i\hbar S_z

在这个例子中,两套不同的相互对易的算符分别为

Set I:S12,S1z,S22,S2zSet II:S2,Sz,S12,S22\begin{aligned} \mathrm{Set~I:}\quad S_1^2,S_1^z,S_2^2,S_2^z \\[1em] \mathrm{Set~II:}\quad S^2,S_z,S_1^2,S_2^2 \end{aligned}

set I\text{set I} 部分的基矢为

,,,\ket{\uparrow\uparrow},\ket{\uparrow\downarrow},\ket{\downarrow\uparrow},\ket{\downarrow\downarrow}

set II\text{set II} 部分的基矢为 Sm\ket{Sm}

S2Sm=S(S+1)2SmSzSm=mSm\begin{aligned} & S^2|Sm\rangle=S(S+1)\hbar^2|Sm\rangle \\[1em] & S_z|Sm\rangle=m\hbar|Sm\rangle \end{aligned}

其中 SSmm 分别为总自旋和总自旋在 zz 方向的分量的量子数。接下来我们计算 S2\boldsymbol{S}^2 的矩阵表示,S2\boldsymbol{S}^2 可写为

S2=S12+2S1S2+S22=2(S1xS2x+S1yS2y+S1zS2z)+322=(S1+S2+S1S2++2S1zS2z)+322\begin{aligned} S^2&=S_1^2+2S_1\cdot S_2+S_2^2 =2(S_1^xS_2^x+S_1^yS_2^y+S_1^zS_2^z)+\frac{3\hbar^2}{2} \\[0.5em] & =(S_1^+S_2^-+S_1^-S_2^++2S_1^zS_2^z)+\frac{3\hbar^2}{2} \end{aligned}

那么有

S2=2(0+0+2)+322=22S2=2(0+2)+322=2(+)S2=2(+02)+322=2(+)S2=2(0+0+2)+322=22\begin{aligned} S^2|\uparrow\uparrow\rangle&=\hbar^2\left(0+0+\frac{|\uparrow\uparrow\rangle}{2}\right)+\frac{3\hbar^2}{2}|\uparrow\uparrow\rangle=2\hbar^2|\uparrow\uparrow\rangle \\[1em] S^2|\uparrow\downarrow\rangle&=\hbar^2\left(0+|\downarrow\uparrow\rangle-\frac{|\uparrow\downarrow\rangle}{2}\right)+\frac{3\hbar^2}{2}|\uparrow\downarrow\rangle=\hbar^2|\left(\downarrow\uparrow\rangle+\uparrow\downarrow\rangle\right) \\[1em] S^2\ket{\downarrow\uparrow}&=\hbar^2\left(\ket{\uparrow\downarrow}+0-\frac{\ket{\downarrow\uparrow}}{2}\right)+\frac{3\hbar^2}{2}|\downarrow\uparrow\rangle=\hbar^2\left(\ket{\uparrow\downarrow}+\ket{\downarrow\uparrow}\right) \\[1em] S^2\ket{\downarrow\downarrow}&=\hbar^2\left(0+0+\frac{\ket{\downarrow\downarrow}}{2}\right)+\frac{3\hbar^2}{2}\ket{\downarrow\downarrow}=2\hbar^2\ket{\downarrow\downarrow} \end{aligned}

因此,S2\boldsymbol{S}^2{,,,}\{\ket{\uparrow\uparrow},\ket{\uparrow\downarrow},\ket{\downarrow\uparrow},\ket{\downarrow\downarrow}\} 基底下的矩阵表示为

S22(2000011001100002)\boldsymbol{S}^2\doteq\hbar^2 \begin{pmatrix} 2 & 0 & 0 & 0 \\ 0 & 1 & 1 & 0 \\ 0 & 1 & 1 & 0 \\ 0 & 0 & 0 & 2 \end{pmatrix}

由于四个基底都是 Sz\boldsymbol{S}_z 的本征态,故 Sz\boldsymbol{S}_z 在该基底下的对角矩阵为

Sz(1000000000000001)S_z\doteq\hbar \begin{pmatrix} 1 & 0 & 0 & 0 \\ 0 & 0 & 0 & 0 \\ 0 & 0 & 0 & 0 \\ 0 & 0 & 0 & -1 \end{pmatrix}

为了将 S2\boldsymbol{S}^2 对角化,我们找到一组新的基

{,+2,2,}\left\{\ket{\uparrow\uparrow},\quad\frac{\ket{\uparrow\downarrow}+\ket{\downarrow\uparrow}}{\sqrt{2}},\quad\frac{\ket{\uparrow\downarrow}-\ket{\downarrow\uparrow}}{\sqrt{2}},\quad\ket{\downarrow\downarrow}\right\}

在这组新基底下,S2\boldsymbol{S}^2 的矩阵表示对角化,SzS_z 的矩阵不变

S22(2000020000000002)Sz(1000000000000001)\boldsymbol{S}^2\doteq\hbar^2 \begin{pmatrix} 2 & 0 & 0 & 0 \\ 0 & 2 & 0 & 0 \\ 0 & 0 & 0 & 0 \\ 0 & 0 & 0 & 2 \end{pmatrix} \qquad \qquad S_z\doteq\hbar \begin{pmatrix} 1 & 0 & 0 & 0 \\ 0 & 0 & 0 & 0 \\ 0 & 0 & 0 & 0 \\ 0 & 0 & 0 & -1 \end{pmatrix}

我们又知道,S2\boldsymbol{S}^2 的本征值为 S(S+1)2S(S+1)\hbar^2,根据 S2\boldsymbol{S}^2 矩阵的对角元,S(S+1)=2S(S+1)=2S(S+1)=0S(S+1)=0,解得 S=1S=1S=0S=0。因此,总自旋量子数 SS 的可能取值为 1100。其中当 S=1S=1 时,分别对应基矢中的第一个、第二个和第四个;当 S=0S=0 时,对应基矢中的第三个。


接下来我们直接从矩阵角度获得 S2\boldsymbol{S}^2SzS_z 的矩阵表示,定义单个自旋 1/21/2 的基底为

(10)(01)|\uparrow\rangle\doteq\binom{1}{0}\qquad|\downarrow\rangle\doteq\binom{0}{1}

两个自旋 1/21/2 的基底为它们的张量积

(10)(10)=(1000),(10)(01)=(0100)(01)(10)=(0010),(01)(01)=(0001)\begin{aligned} & |\uparrow\uparrow\rangle\doteq\binom{1}{0}\otimes\binom{1}{0}= \begin{pmatrix} 1 \\ 0 \\ 0 \\ 0 \end{pmatrix},\quad & |\uparrow\downarrow\rangle\doteq\binom{1}{0}\otimes\binom{0}{1}= \begin{pmatrix} 0 \\ 1 \\ 0 \\ 0 \end{pmatrix} \\ & |\downarrow\uparrow\rangle\doteq\binom{0}{1}\otimes\binom{1}{0}= \begin{pmatrix} 0 \\ 0 \\ 1 \\ 0 \end{pmatrix},\quad & |\downarrow\downarrow\rangle\doteq\binom{0}{1}\otimes\binom{0}{1}= \begin{pmatrix} 0 \\ 0 \\ 0 \\ 1 \end{pmatrix} \end{aligned}

根据 S112\boldsymbol{S}_1\otimes1_211S21_1\otimes \boldsymbol{S}_2 可得

S1z2(1001)(1001)=2(1000010000100001)S2z(1001)2(1001)=2(1000010000100001)\begin{aligned} S_{ 1 }^{ z } \doteq \frac { \hbar } { 2 } \begin{pmatrix} 1 & 0 \\ 0 & - 1 \end{pmatrix} \otimes \begin{pmatrix} 1 & 0 \\ 0 & 1 \end{pmatrix} = \frac { \hbar } { 2 } \begin{pmatrix} 1 & 0 & 0 & 0 \\ 0 & 1 & 0 & 0 \\ 0 & 0 & - 1 & 0 \\ 0 & 0 & 0 & - 1 \end{pmatrix} \\[2em] S_{ 2 }^{ z } \doteq \begin{pmatrix} 1 & 0 \\ 0 & 1 \end{pmatrix} \otimes \frac { \hbar } { 2 } \begin{pmatrix} 1 & 0 \\ 0 & - 1 \end{pmatrix} = \frac { \hbar } { 2 } \begin{pmatrix} 1 & 0 & 0 & 0 \\ 0 & - 1 & 0 & 0 \\ 0 & 0 & 1 & 0 \\ 0 & 0 & 0 & - 1 \end{pmatrix} \end{aligned}

因此,zz 分量总自旋算符为

Sz=S1z+S2z(1000000000000001)S_z=S_1^z+S_2^z \doteq\hbar \begin{pmatrix} 1 & 0 & 0 & 0 \\ 0 & 0 & 0 & 0 \\ 0 & 0 & 0 & 0 \\ 0 & 0 & 0 & -1 \end{pmatrix}

综上,两个自旋 1/21/2 的角动量耦合后会得到两个不同的总自旋量子数 SS,分别为 1100,对应的基矢分别为

S=1,m=1=S=1,m=0=12(+)S=1,m=1=}(三重态)S=0,sz=0=12()(单重态)\begin{aligned} &\textcolor{cyan}{\left. \begin{aligned} &|S=1, m=1\rangle = |\uparrow\uparrow\rangle \\ &|S=1, m=0\rangle = \frac{1}{\sqrt{2}}(|\uparrow\downarrow\rangle + |\downarrow\uparrow\rangle) \\ &|S=1, m=-1\rangle = |\downarrow\downarrow\rangle \end{aligned} \quad \right\} \quad \text{(三重态)}} \\[1em] &\textcolor{orange}{|S=0, s_z=0\rangle = \frac{1}{\sqrt{2}}(|\uparrow\downarrow\rangle - |\downarrow\uparrow\rangle) \quad \text{(单重态)}} \end{aligned}

这个结果可以形象地表示为

1212=10\frac{1}{2}\otimes\frac{1}{2}=1\oplus0

两个自旋 1/21/2 希尔伯特空间的直积,是一个自旋 11 空间与一个自旋 00 空间的直和,是可约的。

角动量的合成问题本质上是一个基底变换问题,我们将乘积态转换至总自旋态。

角动量的叠加

考虑两个属于独立自由度的角动量 J1\boldsymbol{J}_1J2\boldsymbol{J}_2,量子数分别为 j1j_1j2j_2,它们的对易子为零:

[Jiα,Jjβ]=iδijεαβγJiγ(i,j=1,2α,β=x,y,z)\left[J_i^\alpha,J_j^\beta\right]=i\hbar\delta_{ij}\varepsilon_{\alpha\beta\gamma}J_i^\gamma\quad(i,j=1,2\quad \alpha,\beta=x,y,z)

它们各自对应一个无穷小转动,并直积出一个总的转动

(1iJ1n^ε)(1iJ2n^ε)=1i(J11+1J2)n^ε1iJn^ε\left(1-\frac{i}{\hbar}\boldsymbol{J}_1\cdot\hat{n}\varepsilon\right)\boldsymbol{\otimes}\left(1-\frac{i}{\hbar}\boldsymbol{J}_2\cdot\hat{n}\varepsilon\right)=1-\frac{i}{\hbar}(\boldsymbol{J}_1\boldsymbol{\otimes}1+1\boldsymbol{\otimes}\boldsymbol{J}_2)\cdot\hat{n}\varepsilon\equiv1-\frac{i}{\hbar}\boldsymbol{J}\cdot\hat{n}\varepsilon

其中 JJ11+1J2=J1+J2J\equiv J_1\otimes1+1\otimes J_2=J_1+J_2,这从无穷小转动的角度证明了我们之前对 J\boldsymbol{J} 的定义是合理的。我们之前证明了 J\boldsymbol{J} 也是一个角动量算符,满足基本对易关系:

[Jα,Jβ]=[J1α+J2α,J1β+J2β]=[J1α,J1β]+[J2α,J2β]=iεαβγJ1γ+iεαβγJ2γ=iεαβγ(J1γ+J2γ)=iεαβγJγ\begin{aligned} \left[J_{\alpha},J_{\beta}\right] & =\left[J_1^\alpha+J_2^\alpha,J_1^\beta+J_2^\beta\right]=\left[J_1^\alpha,J_1^\beta\right]+\left[J_2^\alpha,J_2^\beta\right] \\[1em] & =i\hbar\varepsilon_{\alpha\beta\gamma}J_1^\gamma+i\hbar\varepsilon_{\alpha\beta\gamma}J_2^\gamma=i\hbar\varepsilon_{\alpha\beta\gamma}(J_1^\gamma+J_2^\gamma)=i\hbar\varepsilon_{\alpha\beta\gamma}J_\gamma \end{aligned}

容易看出 J\boldsymbol{J} 是整个系统的生成元,那么总的转动算符为

Dn^(θ)=eiJn^θ=ei(J1+J2)n^θ=eiJ1n^θeiJ2n^θD_{\hat{n}}(\theta)=e^{-\dfrac{i}{\hbar}\boldsymbol{J}\cdot\hat{n}\theta}=e^{-\dfrac{i}{\hbar}(\boldsymbol{J}_1+\boldsymbol{J}_2)\cdot\hat{n}\theta}=e^{-\dfrac{i}{\hbar}\boldsymbol{J}_1\cdot\hat{n}\theta}e^{-\dfrac{i}{\hbar}\boldsymbol{J}_2\cdot\hat{n}\theta}

由于 J1\boldsymbol{J}_1J2\boldsymbol{J}_2 都是标量函数,且 J1J2\boldsymbol{J}_1\cdot\boldsymbol{J}_2 也是标量函数(因为只要两个三维空间中的算符具有相同转动规则,它们的点积就是一个标量函数),那么它们在总的转动下是不变的

{Dn^(θ)J12Dn^(θ)=J12,Dn^(θ)J22Dn^(θ)=J22,Dn^(θ)J1J2Dn^(θ)=J1J2\left.\left\{ \begin{array} {c}D_{\hat{n}}^\dagger(\theta)\boldsymbol{J}_1^2D_{\hat{n}}(\theta)=\boldsymbol{J}_1^2, \\[1em] D_{\hat{n}}^\dagger(\theta)\boldsymbol{J}_2^2D_{\hat{n}}(\theta)=\boldsymbol{J}_2^2, \\[1em] D_{\hat{n}}^\dagger(\theta)\boldsymbol{J}_1\cdot\boldsymbol{J}_2D_{\hat{n}}(\theta)=\boldsymbol{J}_1\cdot\boldsymbol{J}_2 \end{array}\right.\right.

因此我们猜测总角动量的每一个分量都跟 J12\boldsymbol{J}_1^2J22\boldsymbol{J}_2^2J1J2\boldsymbol{J}_1\cdot\boldsymbol{J}_2 对易,事实验证确实如此,因此我们注意到

J2=J12+J22+2J1J2=J12+J22+(J1+J2+J1J2++2J1zJ2z)\boldsymbol{J}^2=\boldsymbol{J}_1^2+\boldsymbol{J}_2^2+2\boldsymbol{J}_1\cdot \boldsymbol{J}_2=\boldsymbol{J}_1^2+\boldsymbol{J}_2^2+(J_1^+J_2^-+J_1^-J_2^++2J_1^zJ_2^z)

里面的三项是两两对易的

[J12,J22]=[J12,J1J2]=[J22,J1J2]=0[J_1^2,J_2^2]=[J_1^2,J_1\cdot J_2]=[J_2^2,J_1\cdot J_2]=0

所以总角动量跟各分量之间也是对易的 [J2,J12]=[J2,J22]=0[J^2,J_1^2]=[J^2,J_2^2]=0

两种基矢选择

第一种:不合成(直积态),用各自的 JzJ_z投影标定, J12,J1z,J22,J2z\boldsymbol{J}_1^2, J_{1}^z, \boldsymbol{J}_2^2, J_{2}^z 的共同本征矢为:j1j2;m1m2j1m1j2m2|j_1j_2;m_1m_2\rangle\equiv|j_1m_1\rangle\otimes|j_2m_2\rangle

Ji2j1j2;m1m2=ji(ji+1)2j1j2;m1m2Jizj1j2;m1m2=mij1j2;m1m2\begin{aligned} & J_i^2|j_1j_2;m_1m_2\rangle=j_i(j_i+1)\hbar^2|j_1j_2;m_1m_2\rangle \\[1em] & J_i^z|j_1j_2;m_1m_2\rangle=m_i\hbar|j_1j_2;m_1m_2\rangle \end{aligned}

第二种:合成后用总的 J2\boldsymbol{J}^2JzJ_z 标定,J2,Jz,J12,J22\boldsymbol{J}^2, J_z, \boldsymbol{J}_1^2, \boldsymbol{J}_2^2 的共同本征矢为:j1j2;jm|j_1j_2;jm\rangle

J2j1j2;jm=j(j+1)2j1j2;jmJzj1j2;jm=mj1j2;jmJi2j1j2;jm=ji(ji+1)2j1j2;jm\begin{aligned} & J^2|j_1j_2;jm\rangle=j(j+1)\hbar^2|j_1j_2;jm\rangle \\[1em] & J_z|j_1j_2;jm\rangle=m\hbar|j_1j_2;jm\rangle \\[1em] & J_i^2|j_1j_2;jm\rangle=j_i(j_i+1)\hbar^2|j_1j_2;jm\rangle \end{aligned}

对于给定的 j1j_1j2j_2J12\boldsymbol{J}_1^2J22\boldsymbol{J}_2^2 这两个算符在 Dj1Dj2\mathcal{D}_{j_1} \otimes \mathcal{D}_{j_2} 中都正比于单位算符

Ji2ji(ji+1)21j11j2J_i^2\doteq j_i(j_i+1)\hbar^21_{j_1}\otimes1_{j_2}

两种基矢之间的幺正变换:克莱布什-戈登系数

在右矢空间 Dj1Dj2\mathcal{D}_{j_1} \otimes \mathcal{D}_{j_2} 中,我们有完备关系

m1m2j1j2;m1m2j1j2;m1m2=1\sum_{m_1m_2}|j_1j_2;m_1m_2\rangle\langle j_1j_2;m_1m_2|=1

我们插入这个完备性关系得到

j1j2;jm=m1m2j1j2;m1m2j1j2;m1m2j1j2;jm|j_1j_2;jm\rangle=\sum_{m_1m_2}|j_1j_2;m_1m_2\rangle\langle j_1j_2;m_1m_2|j_1j_2;jm\rangle

上式右边的内积就是两个基矢之间的转换系数,称为克莱布什-戈登系数,其具有以下性质

  1. mm 的限制:只有当 m=m1+m2m=m_1+m_2 时,克莱布什-戈登系数才非零:

    j1j2;m1m2j1j2;jm=0,mm1+m2\langle j_1j_2;m_1m_2|j_1j_2;jm\rangle=0,\qquad m\neq m_1+m_2

  2. jj 的限制:只有当 j1j2jj1+j2|j_1-j_2|\leq j\leq j_1+j_2 时,克莱布什-戈登系数才非零:

    j1j2;m1m2j1j2;jm=0,j<j1j2orj>j1+j2\langle j_1j_2;m_1m_2|j_1j_2;jm\rangle=0,\qquad j<|j_1-j_2|\quad \mathrm{or}\quad j>j_1+j_2

    由于直和运算具有维数相加的性质,因此我们可以将这个范围写作

    j1j2=j1j2(j1j2+1)(j1+j2)j_1\otimes j_2=|j_1-j_2|\oplus(|j_1-j_2|+1)\oplus\cdots\oplus(j_1+j_2)

    在不失一般性的情况下,我们总可以选择 j1j2j_1\geq j_2,那么绝对值符号可以去掉,那么就有 2j2+12j_2+1 个允许的 jj 值。

m和j1j2的取值对应

对于上图最右上角的点 (j=m=j1+j2)(j=m=j_1+j_2),它只能对应 (m1=j1,m2=j2)(m_1=j_1,m_2=j_2),因此

j1j2;j1+j2,j1+j2=j1j2;j1j2|j_1j_2;j_1+j_2,j_1+j_2\rangle=|j_1j_2;j_1j_2\rangle

等式右边的第一个 j1+j2j_1+j_2 表示 jmaxj_max,第二个 j1+j2j_1+j_2 表示 mmaxm_{max},等式右边的 j1j_1j2j_2 分别表示 m1maxm_{1max}m2maxm_{2max}

对于再向下的一条直线 m=mmax1=j1+j21m=m_{max}-1=j_1+j_2-1 上的点

jm=j1+j21j=j1+j21orj=j1+j2j\geq m=j_1+j_2-1 \quad \Rightarrow \quad j=j_1+j_2-1\quad\mathrm{or}\quad j=j_1+j_2

那么在 m=j1+j21m=j_1+j_2-1 的前提下,j=j1+j2j=j_1+j_2j=j1+j21j=j_1+j_2-1 对应的基矢表示分别为

j1j2;j1+j2,j1+j21=aj1j2;j1,j21+bj1j2;j11,j2j1j2;j1+j21,j1+j21=cj1j2;j1,j21+dj1j2;j11,j2\begin{aligned} &|j_1j_2;j_1+j_2,j_1+j_2-1\rangle=a|j_1j_2;j_1,j_2-1\rangle+b|j_1j_2;j_1-1,j_2\rangle \\[1em] &|j_1j_2;j_1+j_2-1,j_1+j_2-1\rangle=c|j_1j_2;j_1,j_2-1\rangle+d|j_1j_2;j_1-1,j_2\rangle \end{aligned}

为什么两式左边会是相同乘积态的线性组合呢?因为这两个红点在同一条直线上,而一条直线上有多少点就表示该直线代表的子空间是多少维的。且同时也代表在固定 mmjj 的个数。

接下来就要确定系数 a,b,c,da,b,c,d 了。利用已知的最右上角的红点 j1j2;j1+j2,j1+j2=j1j2;j1j2|j_1j_2;j_1+j_2,j_1+j_2\rangle=|j_1j_2;j_1j_2\rangle,两端分别左乘 JJ_-,得到

Jj1j2;j1+j2,j1+j2=(J1+J2)j1j2;j1j22(j1+j2)j1j2;j1+j2,j1+j21=2j1j1j2;j11,j2+2j2j1j2;j1,j21 J_-|j_1j_2;j_1+j_2,j_1+j_2\rangle=(J_1^-+J_2^-)|j_1j_2;j_1j_2\rangle \\[1em] \Longrightarrow\sqrt{2(j_1+j_2)}|j_1j_2;j_1+j_2,j_1+j_2-1\rangle=\sqrt{2j_1}|j_1j_2;j_1-1,j_2\rangle+\sqrt{2j_2}|j_1j_2;j_1,j_2-1\rangle

最后就能对比得到 aabb 的值

j1j2;j1+j2,j1+j21=j2j1+j2j1j2;j1,j21+j1j1+j2j1j2;j11,j2|j_1j_2;j_1+j_2,j_1+j_2-1\rangle=\sqrt{\frac{j_2}{j_1+j_2}}|j_1j_2;j_1,j_2-1\rangle+\sqrt{\frac{j_1}{j_1+j_2}}|j_1j_2;j_1-1,j_2\rangle

为了继续确定 c,dc,d,我们先做如下约定:

  1. C-G\text{C-G} 系数总是可以被选为实数(因为按照约定,我们已经选取 J±J_{\pm} 的矩阵元为实数)。

  2. 对于 (m1,m2)(m_1, m_2) 态,具有较大 m1m_1 的那一个乘积态的系数被选为正值。

利用上述两个约定,j1j2;j1+j21,j1+j21|j_1 j_2; j_1 + j_2 - 1, j_1 + j_2 - 1\rangle 中的系数 ccdd 可以通过正交归一关系被唯一确定

j1j2;j1+j21,j1+j21j1j2;j1+j21,j1+j21=1j1j2;j1+j21,j1+j21j1j2;j1+j2,j1+j21=0\begin{aligned} &\langle j_1j_2;j_1+j_2-1,j_1+j_2-1|j_1j_2;j_1+j_2-1,j_1+j_2-1\rangle=1 \\[1em] &\langle j_1j_2;j_1+j_2-1,j_1+j_2-1|j_1j_2;j_1+j_2,j_1+j_2-1\rangle=0 \end{aligned}

解得 ccdd 的值为

c=j1j1+j2,d=j2j1+j2c=\sqrt{\frac{j_1}{j_1+j_2}},\qquad d=-\sqrt{\frac{j_2}{j_1+j_2}}

ccdd 代入之前的表达式中,得到

j1j2;j1+j21,j1+j21=j1j1+j2j1j2;j1,j21j2j1+j2j1j2;j11,j2|j_1j_2;j_1+j_2-1,j_1+j_2-1\rangle=\sqrt{\frac{j_1}{j_1+j_2}}|j_1j_2;j_1,j_2-1\rangle-\sqrt{\frac{j_2}{j_1+j_2}}|j_1j_2;j_1-1,j_2\rangle

对于 m=mmax=j1+j22m=m_{max}=j_1+j_2-2 的直线上的点,就会存在三个态:允许的 jj 值为 j=j1+j2j=j_1+j_2j=j1+j21j=j_1+j_2-1j=j1+j22j=j_1+j_2-2。由于 JJ_- 只会在子空间 Dj\mathcal{D}_j 内作用,只改变 mm 的值而不改变 jj 的值,因此其中的两个态可直接通过 JJ_- 作用在 m=j1+j21m=j_1+j_2-1 的两个态上得到

j1j2;j1+j2,j1+j22Jj1j2;j1+j2,j1+j21j1j2;j1+j21,j1+j22Jj1j2;j1+j21,j1+j21|j_1j_2;j_1+j_2,j_1+j_2-2\rangle\thicksim J_-|j_1j_2;j_1+j_2,j_1+j_2-1\rangle \\[1em] |j_1j_2;j_1+j_2-1,j_1+j_2-2\rangle\thicksim J_-|j_1j_2;j_1+j_2-1,j_1+j_2-1\rangle

类似地,j1j2;j1+j22,j1+j22|j_1 j_2; j_1 + j_2 - 2, j_1 + j_2 - 2\rangle 中的 33 个展开系数,可以通过解 11 个归一化条件和 22 个正交关系确定。原则上,我们可以通过类似的方法,生成对应于 m=j1+j23,j1+j24,m = j_1 + j_2 - 3, j_1 + j_2 - 4, \cdotsJ2\boldsymbol{J}^2 本征态,如下图所示

CG系数的递推计算

通过上图我们可以看出,对于固定的 m=m1+m2m=m_1+m_2,我们总可以利用 C-G\text{C-G} 系数将 J2\boldsymbol{J}^2 的本征态表示为乘积态的线性组合

j1j2;jm=m1+m2=mj1j2;m1m2j1j2;m1m2j1j2;jm|j_1j_2;jm\rangle=\sum_{m_1+m_2=m}|j_1j_2;m_1m_2\rangle \underline{\langle j_1j_2;m_1m_2|j_1j_2;jm\rangle}

其中 m1+m2=mm_1+m_2=m 共有 2j+12j+1 项,从而共有 2j+12j+1 个乘积态基矢,又因为不同 jj 下的 jm\ket{jm} 是两两正交的,所以对应的 jj 值也只能有 2j+12j+1 项,因此 jj 的最小值为 jmin=(j1+j2)(2j)=j1j2j_{min}=(j_1+j_2)-(2j)=j_1-j_2

因为 C-G\text{C-G} 系数是两个完备正交归一基底之间的幺正变换系数,且都为实数,所以能构成一个实正交矩阵。显然我们可以准备好所有的 j1,j2j_1,j_2C-G\text{C-G} 系数表格,然后通过查表法获得任意需要的 C-G\text{C-G} 系数,如下图所示

C-G系数表

同理我们还可以反过来,将乘积态表示为总角动量态的线性组合

j1j2;m1m2=jj1j2;jmj1j2;jmj1j2;m1m2|j_1j_2;m_1m_2\rangle=\sum_{j}|j_1j_2;jm\rangle\underline{\langle j_1j_2;jm|j_1j_2;m_1m_2\rangle}

此时只需对同一 mm 对应的 C-G\text{C-G} 系数进行转置读取即可。也就是说,若是 j1j2;m1m2j1j2;jm\ket{j_1j_2;m_1m_2}\to \ket{j_1j_2;jm} 的变换那么就竖着读,若是 j1j2;jmj1j2;m1m2\ket{j_1j_2;jm}\to \ket{j_1j_2;m_1m_2} 的变换那么就横着读。

L-S耦合

在原子物理中,电子的总角动量 J\boldsymbol{J} 由轨道角动量 L\boldsymbol{L} 和自旋角动量 S\boldsymbol{S} 组成

J=L+S\boldsymbol{J}=\boldsymbol{L}+\boldsymbol{S}

此时 j=l±12j±j=l\pm \dfrac{1}{2}\equiv j_{\pm}mmax=l+12m_{max}=l+\dfrac{1}{2}mmin=(l+12)m_{min}=-(l+\dfrac{1}{2})。示意图如下

L-S耦合的m取值

我们想要得到固定 mm 下的一般态的 C-G\text{C-G} 系数,那么一般对应两个 mm 相同而 jj 不同的态

l12;l+12,m=al12;m+12,12+bl12;m12,12l12;l12,m=al12;m+12,12+bl12;m12,12\begin{aligned} \left|l\frac{1}{2};l+\frac{1}{2},m\right\rangle&=a\left|l\frac{1}{2};m+\frac{1}{2},-\frac{1}{2}\right\rangle+b\left|l\frac{1}{2};m-\frac{1}{2},\frac{1}{2}\right\rangle \\[1em] \left|l\frac{1}{2};l-\frac{1}{2},m\right\rangle&=a^{\prime}\left|l\frac{1}{2};m+\frac{1}{2},-\frac{1}{2}\right\rangle+b^{\prime}\left|l\frac{1}{2};m-\frac{1}{2},\frac{1}{2}\right\rangle \end{aligned}

我们有两种方法来确定 C-G\text{C-G} 系数 a,b,a,ba,b,a',b'


①定义 m±=m±12m_\pm=m\pm\dfrac{1}{2},又因为 j±=l±12j_\pm=l\pm\dfrac{1}{2},结合我们之前得到的 JJ_-jm\ket{jm} 的降低作用

jm=(j+m)!(2j)!(jm)!(J)jmjj(J)jmjj=(2j)!(jm)!(j+m)!jm|jm\rangle=\sqrt{\frac{(j+m)!}{(2j)!(j-m)!}}(J_{-})^{j-m}|jj\rangle \qquad \qquad (J_{-})^{j-m}|jj\rangle=\sqrt{\frac{(2j)!(j-m)!}{(j+m)!}}|jm\rangle

我们可以得到

l12;j+m=(j++m)!(2j+)!(j+m)!(J)j+ml12;j+j+\left|l\frac{1}{2};j_{+}m\right\rangle=\sqrt{\frac{(j_{+}+m)!}{(2j_{+})!(j_{+}-m)!}}(J_{-})^{j_{+}-m}\left|l\frac{1}{2};j_{+}j_{+}\right\rangle

又因为最高的 j+j+\ket{j_+j_+} 态等于最高的 l12;l12\ket{l\dfrac{1}{2};l\dfrac{1}{2}}l12;j+j+=l12;l12\left|l\dfrac{1}{2};j_+j_+\right\rangle=\left|l\dfrac{1}{2};l\dfrac{1}{2}\right\rangle,再利用 J=L+SJ_-=L_-+S_-,并利用二项式定理展开 (J)j+m(J_-)^{j_+-m}

(J)j+m=(L+S)j+m=n=0jmCj+mn(L)n(S)j+mn(J_-)^{j_+-m}=(L_-+S_-)^{j_+-m}=\sum_{n=0}^{j-m}C_{j_+-m}^n(L_-)^n(S_-)^{j_+-m-n}

这个二项式定理看起来很多项数,实际上只有两项不为零,因为 SS_- 只能作用一次就把自旋 1/21/2 的态降到最低态了,所以当 j+mn2j_+-m-n\geq2 时,(S)j+mnl12;l12=0(S_-)^{j_+-m-n}\left|l\frac{1}{2};l\frac{1}{2}\right\rangle=0,因此我们只需要考虑 n=j+mn=j_+-mn=j+m1n=j_+-m-1 两项,计算下式

l12;j+m=(j++m)!(2j+)!(j+m)!n=0jmCj+mn(L)n(S)j+mnl12;l12\left|l\frac{1}{2};j_{+}m\right\rangle=\sqrt{\frac{(j_{+}+m)!}{(2j_{+})!(j_{+}-m)!}}\sum_{n=0}^{j-m}C_{j_{+}-m}^{n}(L_{-})^{n}(S_{-})^{j+-m-n}\left|l\frac{1}{2};l\frac{1}{2}\right\rangle

可以得到

l12;j+m=12l+1[l+m+l12;m,12+lml12;m+,12]\left|l\frac{1}{2};j_+m\right\rangle=\sqrt{\frac{1}{2l+1}}\left[\sqrt{l+m_+}\left|l\frac{1}{2};m_-,\frac{1}{2}\right\rangle+\sqrt{l-m_-}\left|l\frac{1}{2};m_+,-\frac{1}{2}\right\rangle\right]

可以利用同样的方法或者正交归一关系得到

l12;jm=12l+1[lml12;m,12+l+m+l12;m+,12]\left|l\frac{1}{2};j_-m\right\rangle=\sqrt{\frac{1}{2l+1}}\left[-\sqrt{l-m_-}\left|l\frac{1}{2};m_-,\frac{1}{2}\right\rangle+\sqrt{l+m_+}\left|l\frac{1}{2};m_+,-\frac{1}{2}\right\rangle\right]


②利用两个态的正交归一关系,得到

a2+b2=a2+b2=1aa+bb=0a^2+b^2=a^{\prime2}+b^{\prime2}=1 \\[0.5em] aa^{\prime}+bb^{\prime}=0

但这只是三个条件,而我们有四个未知数,因此还需要一个额外条件,例如比值 a/ba/b。将之前推导出的

J1J2j1j2;jm=22[j(j+1)j1(j1+1)j2(j2+1)]j1j2;jmJ_1\cdot J_2|j_1j_2;jm\rangle=\frac{\hbar^2}{2}[j(j+1)-j_1(j_1+1)-j_2(j_2+1)]|j_1j_2;jm\rangle

应用至 LSL-S 耦合基矢变换的等式两端,分别得到

2LSl12;j+m=2[j+(j++1)l(l+1)34]l12;j+m=l2l12;j+m2LSl12;m+,12=(L+S+LS++2LzSz)l12;m+,12=2((l+m+)(lm++1)l12;m,12m+l12;m+,12)2LSl12;m,12=(L+S+LS++2LzSz)l12;m,12=2((lm)(l+m+1)l12;m+,12+ml12;m,12)\begin{aligned} &2\boldsymbol{L}\cdot\boldsymbol{S}\left|l\frac{1}{2};j_{+}m\right\rangle=\hbar^{2}\left[j_{+}(j_{+}+1)-l(l+1)-\frac{3}{4}\right]\left|l\frac{1}{2};j_{+}m\right\rangle=l\hbar^{2}\left|l\frac{1}{2};j_{+}m\right\rangle \\[2em] & 2\boldsymbol{L}\cdot\boldsymbol{S}\left|l\frac{1}{2};m_{+},-\frac{1}{2}\right|=(L_{+}S_{-}+L_{-}S_{+}+2L_{z}S_{z})\left|l\frac{1}{2};m_{+},-\frac{1}{2}\right| \\ & =\hbar^2\left(\sqrt{(l+m_+)(l-m_++1)}\left|l\frac{1}{2};m_-,\frac{1}{2}\right|-m_+\left|l\frac{1}{2};m_+,-\frac{1}{2}\right|\right) \\[2em] & 2\boldsymbol{L}\cdot\boldsymbol{S}\left|l\frac{1}{2};m_{-},\frac{1}{2}\right\rangle=(L_{+}S_{-}+L_{-}S_{+}+2L_{z}S_{z})\left|l\frac{1}{2};m_{-},\frac{1}{2}\right\rangle \\ & =\hbar^2\left(\sqrt{(l-m_-)(l+m_-+1)}\left|l\frac{1}{2};m_+,-\frac{1}{2}\right|+m_-\left|l\frac{1}{2};m_-,\frac{1}{2}\right|\right) \end{aligned}

将上面三式代入 l12;j±m=al12;m+,12+bl12;m,12\left|l\dfrac{1}{2};j_{\pm}m\right\rangle=a\left|l\dfrac{1}{2};m_+,-\dfrac{1}{2}\right\rangle+b\left|l\dfrac{1}{2};m_-,\dfrac{1}{2}\right\rangle 中,比较系数有

{la=b(lm)(l+m+)am+lb=a(l+m+)(lm)+bm\begin{cases} la=b\sqrt{(l-m_-)(l+m_+)}-am_+ \\[1em] lb=a\sqrt{(l+m_+)(l-m_-)}+bm_- & \end{cases}

得到了 a,ba, b 的比例关系

ab=lml+m+\frac{a}{b}=\sqrt{\frac{l-m_-}{l+m_+}}

凑齐了四个方程,最后也能得到

l12;j+m=12l+1[l+m+l12;m,12+lml12;m+,12]\boxed{\left|l\frac{1}{2};j_{+}m\right\rangle=\sqrt{\frac{1}{2l+1}}\left[\sqrt{l+m_{+}}\left|l\frac{1}{2};m_{-},\frac{1}{2}\right\rangle+\sqrt{l-m_{-}}\left|l\frac{1}{2};m_{+},-\frac{1}{2}\right\rangle\right]}

升降算符方向的投影算符

我们已经得到了 J±J_{\pm} 作用后的结果分别为

22LSl12;j±m=[j±(j±+1)l(l+1)34]l12;j±m={ll12;j+m(l+1)l12;jm\left.\frac{2}{\hbar^{2}}L\cdot S\left|l\frac{1}{2};j_{\pm}m\right\rangle=\left[j_{\pm}(j_{\pm}+1)-l(l+1)-\frac{3}{4}\right]\left|l\frac{1}{2};j_{\pm}m\right\rangle=\left\{ \begin{array}{c} l\left|l\dfrac{1}{2};j_{+}m\right\rangle \\[1em] -(l+1)\left|l\dfrac{1}{2};j_{-}m\right\rangle \end{array}\right.\right.

上式中可以看出,LS\boldsymbol{L}\cdot\boldsymbol{S} 本征值分别为 ll(l+1)-(l+1),对应的本征态分别为 l12;j+m\left|l\dfrac{1}{2};j_{+}m\right\ranglel12;jm\left|l\dfrac{1}{2};j_{-}m\right\rangle。因此我们可以定义两个投影算符,将任意态投影到这两个子空间中
我们在之前证明了:一个具有有限个本征值的可观测量满足一个代数方程。事实上,可以证明 LS\boldsymbol{L} \cdot \boldsymbol{S}DlD1/2\mathcal{D}_l \otimes \mathcal{D}_{1/2} 中满足下列二次方程:

(22LSl)(22LS+l+1)=0\left(\frac{2}{\hbar^2}\boldsymbol{L}\cdot\boldsymbol{S}-l\right)\left(\frac{2}{\hbar^2}\boldsymbol{L}\cdot\boldsymbol{S}+l+1\right)=0

之前的定理就是这时的逆定理:一个满足最简代数方程 ϕ(ξ)=i=1n(ξci)=0\phi(\xi) = \prod_{i=1}^n (\xi - c_i) = 0 的厄米算符ξ\xi,拥有 nn 个本征值,由 {ci}\{c_i\} 给出。但是注意,虽然本征值只有两个,这两个本征值是简并的。

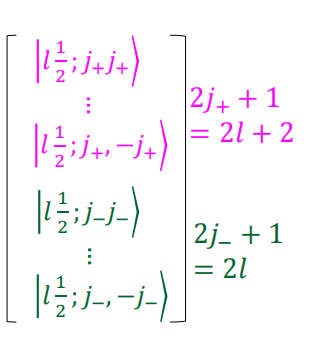
我们将 ((2l+1)2)\left(\left(2l+1\right)\cdot 2\right)(j,m)(j,m) 态按序排成一列

LS的本征态

由于这些态都是 LS\boldsymbol{L}\cdot\boldsymbol{S} 的本征态,因此我们可以将 LS\boldsymbol{L}\cdot\boldsymbol{S} 在这个基底下表示为对角阵

22LS=diag(l,,l,l1,...,l1)\frac{2}{\hbar^2}\boldsymbol{L}\cdot\boldsymbol{S}=\operatorname{diag}(l,\cdots,l,-l-1,...,-l-1)

我们定义两个投影算符

+m=j+j+l12;j+ml12;j+m=diag(1,,1,0,,0)m=jjl12;jml12;jm=diag(0,,0,1,,1)\wp_{+}\equiv\sum_{m=-j_+}^{j_+}\left|l\frac{1}{2};j_+m\right\rangle\left\langle l\frac{1}{2};j_+m\right|=\mathrm{diag}(1,\cdots,1,0,\ldots,0)\\[1em] \wp_{-}\equiv\sum_{m=-j_-}^{j_-}\left|l\frac{1}{2};j_-m\right\rangle\left\langle l\frac{1}{2};j_-m\right|=\mathrm{diag}(0,\cdots,0,1,\ldots,1)

它们分别将 j=j+j=j_+j=jj=j_- 的投影基矢叠加,分别形成 j+j_+jj_- 子空间的投影算符,分别可以将 DlD1/2\mathcal{D}_l \otimes \mathcal{D}_{1/2} 中的任意态投影到 j+j_+jj_- 子空间中去。这两个算符可以用 LS\boldsymbol{L}\cdot\boldsymbol{S} 来表示

+=22LS+l+12l+1=l22LS2l+1\wp_+=\frac{\frac{2}{\hbar^2}\boldsymbol{L}\cdot\boldsymbol{S}+l+1}{2l+1} \qquad \wp_-=\frac{l-\frac{2}{\hbar^2}\boldsymbol{L}\cdot\boldsymbol{S}}{2l+1}